Залежно від того, у який день працівнику довелося вийти на роботу, компенсація буде відрізнятися. І хоча є спільне, диявол, як відомо, ховається в деталях. Тому перше, на що ми звернемо увагу, — чим відрізняються вихідні, святкові та неробочі дні (див. також рис. 1 нижче).
Вихідні дні — це дні, у які працівник не працює відповідно до графіка роботи підприємства (або графіка змінності). Нагадаємо: при п’ятиденному робочому тижні працівникам надають два вихідні дні, при шестиденному — один. Загальним вихідним днем є неділя (ст. 67 Кодексу законів про працю України від 10.12.71 р.; далі — КЗпП).
Святкові та неробочі дні — це дні, упродовж яких працівники не працюють на підставі ст. 73 КЗпП. Їх перелік вичерпний, а з 2015 року загальна кількість таких днів збільшилася до 11*.
* З 25.03.2015 р. виключний перелік святкових і неробочих днів поповнився ще одним днем — День захисника України, який тепер щороку відзначатимемо 14 жовтня.
| Вихідні дні | Святкові дні | Неробочі дні (дні релігійних свят) |
| У загальному випадку — неділя та субота (при 5-денному робочому тижні) або неділя (при 6-денному робочому тижні) | 1 січня — Новий рік; 8 березня — Міжнародний жіночий день; 1 і 2 травня — День міжнародної солідарності трудящих; 9 травня — День Перемоги; 28 червня — День Конституції України; 24 серпня — День незалежності України; 14 жовтня — День захисника України | 7 січня — Різдво Христове; один день (неділя) — Пасха (Великдень) (у 2015 році — 12 квітня); один день (неділя) — Трійця (у 2015 році — 31 травня) |
Рис. 1. Перелік вихідних, святкових і неробочих днів
Так, наприклад, у серпні 2015 року при 5-денному робочому тижні з двома вихідними (субота та неділя) встановлено такі дні, робота в які не проводиться: вихідні — 1, 2, 8, 9, 15, 16, 22, 23, 29, 30; святкові та неробочі — 24.
За загальним правилом залучати до роботи у вихідні та святкові дні заборонено. Проте з будь-якого правила є винятки. Щодо роботи у вихідний (святковий) день вони перелічені в ч. 2 ст. 71 КЗпП.
Пам’ятайте: є категорії працівників, наприклад, вагітні (ст. 176 КЗпП), неповнолітні (ст. 192 КЗпП) тощо, яких залучати до роботи у вихідний день не можна.
Поговоримо далі про «оплатні» моменти.
Працюємо у вихідний/свято — отримуємо компенсацію
Якщо працівник згідно з наказом роботодавця виходить на роботу у вихідний день (святковий або неробочий), то такий день для нього, по суті, стає робочим, адже працівник виконує свої посадові обов’язки.
За те, що працівник жертвує своїм вихідним на благо роботодавця, трудовим законодавством передбачено компенсацію (ст. 72 КЗпП) (див. рис. 2).
Рис. 2. Компенсація за роботу у вихідний день
Який саме вид компенсації за роботу у вихідний день обрати — залежить від домовленості між працівником і роботодавцем. Визначилися з компенсацією? Оформіть досягнуту угоду заявою працівника та наказом роботодавця. Спосіб компенсації визначають безпосередньо в наказі про залучення до роботи у вихідний день (див. листи Мінсоцполітики від 03.10.2013 р. № 1097/13/84-13 і № 922).
Зверніть увагу: якщо працівник як компенсацію обрав інший день відпочинку, то конкретну дату він самостійно не визначає (див. лист Мінсоцполітики від 19.09.2012 р. № 321/13/133-12).
Наша порада: щоб правильно нарахувати зарплату працівнику, у тому числі компенсацію за роботу у вихідний день, правильно оформіть відповідні документи. А саме:
— наказ про залучення до роботи у вихідний день (у ньому, як ми зазначили, вкажіть вид компенсації — надання іншого дня відпочинку або оплату у подвійному розмірі);
— табель обліку використаного робочого часу.
Саме ці документи будуть для бухгалтера підставою для нарахування зарплати.
Як ви вже зрозуміли, у працівника є вибір: отримати замість вихідного дня інший день відпочинку або грошову подвійну оплату. Розглянемо, у чому їх відмінності (див. рис. 3).

Рис. 3. Відмінності варіантів компенсації за роботу у вихідний день
У тому випадку, коли працівник використовує свій вихідний (святковий і неробочий) день для виконання своїх трудових обов’язків, у нього є право одержати за роботу в такий день подвійну оплату. Кому і в якому розмірі — див. нижче рис. 4.

Рис. 4. Способи оплати за роботу у святковий день (вихідний — якщо обрали подвійну оплату) (ст. 107 КЗпП)
Зверніть увагу! Якщо працівник працював у святковий або неробочий день, його роботу цього дня оплачують також згідно зі ст. 107 КЗпП, тобто в подвійному розмірі. Оплату в такій сумі здійснюють за години, фактично відпрацьовані у святковий або неробочий день. За бажанням працівника, який працював у святковий або неробочий день, йому може надаватися інший день відпочинку, що не оплачується та є вихідним днем. Причому такий день надається як додаткова компенсація, тобто оплата за роботу у святковий чи неробочий день у будь-якому разі здійснюється в подвійному розмірі (лист Мінпраці від 29.12.2009 р. № 853/13/84-09). Див. також рис. 5.

Рис. 5. Компенсація за роботу у святковий (неробочий) день
Важливо! Якщо працівник виходить на роботу у вихідний чи святковий і неробочий день за власним бажанням, то роботу в такий день не компенсують.
Розмаїття ситуацій та компенсацій
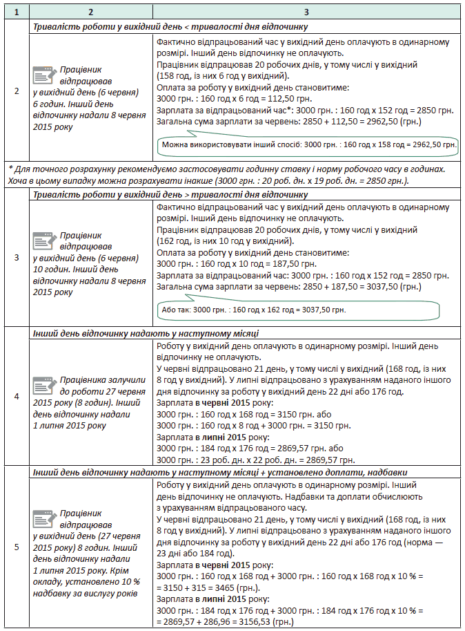
«Вихідна» компенсація. Розглянемо на прикладах, як діяти бухгалтеру при нарахуванні зарплати працівнику, який працював у вихідний день. Візьмемо за основу, що працівнику встановлено посадовий оклад (3000 грн.). Підприємство працює за звичним графіком: 5 робочих днів + 2 вихідних (субота і неділя). Норма робочого часу в червні 2015 року — 20 роб. дн. (160 роб. год).


«Святкова» компенсація. А чи є відмінності при нарахуванні зарплати, якщо працівник працював у святковий (неробочий) день? Так, причому в деяких ситуаціях вони істотні. Запам’ятайте ще раз основний нюанс: роботу у святковий (неробочий) день оплачують у подвійному розмірі завжди, навіть тоді, коли надано інший день відпочинку.
Як оплатити роботу у вихідний день при різних варіантах компенсацій, ви в курсі. Тепер наше завдання — навчитися розрізняти способи компенсації за роботу у святковий (неробочий) день. Для цього попрактикуємося (див. рис. 6 нижче). Наведемо загальну умову: норма робочого часу в червні 2015 року — 20 роб. дн. (160 роб. год).
| Вид компен- сації
Умови праці | Оплата + відгул (30.06.2015 р.) | Оплата без відгулу |
| 1 | 2 | 3 |
| Почасова оплата: оклад — 3500 грн. |
| |
| Відпрацював місячну норму (20 роб. дн. або 160 роб. год). 1. Доплата до окладу в розмірі одинарної годинної ставки: 3500 грн. : 160 год х 8 год = 175 грн. 2. Неоплачуваний вихідний день — 30.06.2015 р. 3. Зарплата за червень 2015 року: 3500 + 175 = 3675 (грн.) | Відпрацював норму часу за червень (20 роб. дн. або 160 роб. год) + робота у святковий день понад норму. 1. Доплата в подвійному розмірі годинної ставки: 3500 грн. : 160 год х 2 х 8 год = 350 грн. 2. Зарплата за червень 2015 року: 3500 + 350 = 3850 (грн.) | |
| Почасова оплата: |
| |
| Відпрацював у святковий день (28.06.2015 р.) 8 год, в інші дні червня — 152 год. 1. Оплата роботи 28.06.2015 р. у подвійному розмірі годинної ставки: 20 грн./год х 2 х 8 год = 320 грн. 2. Неоплачуваний вихідний день — 30.06.2015 р. 3. Зарплата за червень 2015 року: (152 год х 20 грн./год) + 320 грн. = 3360 грн. | Відпрацював у святковий день (28.06.2015 р.) 8 год, в інші дні червня — 160 год (норму часу для червня). 1. Оплата роботи 28.06.2015 р. у подвійному розмірі годинної ставки: 20 грн./год х 2 х 8 год = 320 грн. 2. Зарплата за червень 2015 року: (160 год х х 20 грн./год) + 320 грн. = 3520 грн. | |
| Відрядна оплата: відрядна розцінка — 15 грн. за одиницю продукції. Норма виробітку — 2 од. на годину |
| |
| Виготовлено в червні, крім 28-го числа, 304 од. 1. Оплата роботи 28.06.2015 р. у подвійному розмірі відрядної розцінки: 15 грн./од. х 2 х 16 од. = 480 грн. 2. Неоплачуваний вихідний день — 30.06.2015 р. 3. Зарплата за червень 2015 року: (304 од. х 15 грн./од.) + 480 грн. = 5040 грн. | Виготовлено в червні, крім 28-го числа, 320 од. 1. Оплата роботи 28.06.2015 р. у подвійному розмірі відрядної розцінки: 15 грн./од. х 2 х 16 од. = 480 грн. 2. Зарплата за червень 2015 року: (320 од. х 15 грн./од.) + 480 грн. = 5280 грн. | |
Рис. 6. Варіанти компенсації за роботу у святковий день
«Святково-вихідний» коктейль при підсумованому обліку
Порядок компенсації за роботу у вихідні або святкові та неробочі дні для працівників, яким установлено підсумований облік робочого часу, у цілому стандартний. Тобто всі ті правила, з якими ви ознайомилися вище, працюють і тут. Нагадаємо їх ще раз:

Але існують і особливості. Візьміть до уваги: для працівників з підсумованим обліком робочого часу вихідні дні можуть не збігатися з вихідними днями, установленими для працівників зі звичайним графіком роботи, тобто це будуть не звичні нам субота і неділя, а будь-який інший день тижня. Наприклад, працівник працює за графіком «доба-дві». Вихідні дні в нього будуть «плаваючими»: понеділок — робочий день; вівторок, середа — вихідні дні; четвер — робочий день; п’ятниця, субота — вихідні; неділя — робочий день тощо.
Як бачите, неділя для такого працівника є звичайним робочим днем, а не вихідним, як для решти працівників. Тому в такому разі компенсації за роботу в такий день не буде.
Інша справа, якщо йому доведеться вийти на роботу в день, який згідно з його графіком роботи є для нього вихідним. У цьому випадку діють правила компенсації за роботу у вихідний день (відгул чи оплата в подвійному розмірі).
Компенсація за роботу у святковий (неробочий) день теж має свої нюанси. Незалежно від того, припадає святковий день на робочий відповідно до графіка роботи (тобто робота у святковий день первісно була запланована графіком) чи робота у свято не планувалася, але працівник був залучений до неї за наказом роботодавця, працівник завжди отримає за таку роботу підвищену оплату згідно зі ст. 107 КЗпП.
Пам’ятайте: роботу у святкові (неробочі) дні відповідно до графіка роботи включають до норми робочого часу за обліковий період, оскільки це звичайний робочий день. Години, відпрацьовані понад норму, вважаються наднормовими і їх оплачують у подвійному розмірі (ст. 106 КЗпП). Але! При підрахунку наднормових годин, які мають бути оплачені в подвійному розмірі, години роботи у святкові та неробочі дні, відпрацьовані понад норму робочого часу за обліковий період, не враховують! Річ у тім, що ці години вже мають бути оплачені в подвійному розмірі, як за роботу у святкові (неробочі) дні згідно зі ст. 107 КЗпП (п. 11 Методичних рекомендацій щодо застосування підсумованого обліку робочого часу, затверджених наказом Мінпраці від 19.04.2006 р. № 138).
Оплата в підвищеному розмірі проводиться за години, фактично відпрацьовані у святковий (неробочий) день. Як визначити годинну тарифну ставку для оплати фактично відпрацьованих годин у святкові та неробочі дні при підсумованому обліку робочого часу, якщо працівнику встановлено місячний оклад? Скористайтеся нашими підказками (див. рис. 4 на с. 25). Але ділити місячний оклад треба на місячну норму тривалості робочого часу на відповідний місяць, затверджену правилами внутрішнього трудового розпорядку для цього підрозділу (працівника) (лист Мінсоцполітики від 17.02.2012 р. № 51/13/116-12).
До речі, як зазначає Мінсоцполітики в листі № 922 (ср. ), працівники, які працюють за графіком і робота яких у святковий день уключена до місячної норми робочого часу, не можуть за бажанням узяти інший день відпочинку за роботу у святковий день, адже тоді не буде повністю відпрацьована встановлена місячна норма робочого часу.
Для наочності та простоти наведемо приклади в таблиці нижче.
Умова: Посадовий оклад працівника — 3600 грн. Обліковий період — місяць. Норма робочого часу в червні 2015 року для цього працівника — 160 год. Годинна ставка — 22,50 грн./год (3600 грн. : : 160 год).

Упевнені, проблеми нарахування «святково-вихідних» сум тепер вас обминатимуть!
висновки
-
За роботу у вихідний день передбачено компенсацію у вигляді іншого дня відпочинку або оплати у грошовій формі в подвійному розмірі.
-
«Святкову» роботу оплачують завжди в подвійному розмірі + за бажанням працівника надають інший неоплачуваний день відпочинку.
-
Норма про подвійну оплату поширюється виключно на годинну (денну) ставку.
- Надбавки та доплати за відпрацьовані години у вихідний/святковий день розраховують з одинарного окладу (тарифної ставки).
