Теми статей
Обрати теми

Декларація з податку на прибуток: «закриваємо» 2014 рік

Микола ШПАКОВИЧ, заступник головного редактора, n.shpakovich@id.factor.ua
Декларація за 2014 рік має закрити черговий історичний етап у житті платників податку на прибуток — коли доходи та витрати збирали у декларації з ПНП за «податковими» правилами. З 2015 року облік податку на прибуток перейде на «бухоблікові рейки». У сьогоднішній Темі тижня ми нагадаємо основні правила та розберемось із деякими нюансами для того, щоб «закрити» 2014 рік і спокійно (не озираючись назад) звикати до в нових правил.

Основні деклараційні постулати

Спочатку пропонуємо освіжити у пам’яті деякі постулати щодо цьогорічного звітування з ПНП. Більшість із них добре відома бухгалтерам, тому наведемо їх у стислому вигляді (див. табл. 1).

 

Таблиця 1. Деклараційні постулати — 2014

Показник

Коротка характеристика

Форма декларації

Цього року обійшлося без сюрпризів. За 2014 рік подаємо декларацію, форма якої затверджена наказом Міндоходів України від 30.12.13 р. № 872. Податківці рекомендували використовувати її ще минулого року (див. «БТ», 2014, № 5, с. 4)

Порядок подання

Платники, які належать до великих і середніх підприємств (річний дохід понад 10 млн євро та/або чисельність працівників перевищує 50 осіб), повинні подати декларацію в електронному вигляді (п. 49.4 ПКУ(1)).

Інші (суб’єкти малого та мікропідприємництва) можуть обрати один із таких варіантів:

• подати особисто або через уповноважену особу;

• надіслати поштою з повідомленням про вручення та описом вкладення — не пізніше ніж за 10 днів до закінчення граничного строку подання (п. 49.5 ПКУ);

• подати в електронній формі

Звітні періоди

Більшість платників ПНП подають лише річну декларацію (вони ставлять позначку «Х» у полі «Рік1»).

Лише дві категорії платників мали звітувати у 2014 році поквартально:

• ті, хто на початку 2014 року сплачували щомісячні аванси, але за I квартал не отримали прибуток або отримали збиток;

• ті, хто в минулому році не мали базового показника для визначення авансових внесків (збиткові підприємства з доходом більше 10 млн грн.), а за підсумками I кварталу 2014 року отримали прибуток.

«Квартальники» ставлять у декларації позначку «Х» у полі «Рік2»

Строки подання та сплати

1. Якщо подавали внутрішньорічні декларації, то декларацію потрібно подати не пізніше 9 лютого 2015 року (п.п. 49.18.3 і п. 49.19 ПКУ, запитання 10 УПК № 1171). Суму нарахованого податку потрібно сплатити не пізніше 19.02.15 р.

2. Якщо подаєте лише річну декларацію, то зробити це потрібно не пізніше 2 березня 2015 року. Сплатити задекларовану суму податку потрібно не пізніше 11.03.15 р.

Новостворені підприємства

Новостворені підприємства, зареєстровані у 2014 році, теж подають річну декларацію за 2014 рік (незалежно від того, коли вони стали на облік) (п. 57.1 ПКУ).

Хоча до 01.01.15 р. п.п. 152.9.2 ПКУ передбачав, що неповні звітні періоди «прикріплюються» до наступного повного звітного періоду, керуватись потрібно більш новою нормою — п. 57.1 ПКУ

«Перебіжчики» з ЄП та ФСП

Підприємства, які у 2014 році перейшли зі сплати ЄП або ФСП на загальну систему оподаткування:

• сплачують ПНП на підставі річної декларації за 2014 рік;

• не сплачують авансові внески.

На це вказали контролери у відповіді на запитання 16 УПК № 1171

Фінзвітність

Усі підприємства, у тому числі й суб’єкти малого підприємництва, разом із декларацією подають до органу ДФСУ фінзвітність (п. 46.2 ПКУ)

(1) Тут і далі по тексту ми будемо посилатись на норми ПКУ, які діяли у 2014 році, бо з 01.01.15 р. розд. III ПКУ викладено в новій редакції.

 

Доходи

img 1

 

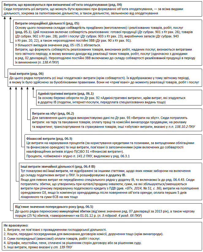
Витрати

img 2

 

Прибуток

Загальний прибуток

Після того як ми підрахували доходи і витрати, можна перейти до розрахунку оподатковуваного прибутку. Для цього в декларації передбачені ряд. 07 — 09. У цих рядках вказуємо загальний прибуток (ряд. 07) та окремо виділяємо:

• прибуток від діяльності, яка підлягає патентуванню (ряд. 08 ТП);

• прибуток, звільнений від оподаткування (ряд. 09 ПЗ).

Для оподатковуваного прибутку від діяльності, яка не підлягає патентуванню, у декларації немає окремого рядка. Суму такого прибутку можна визначити як різницю:

ряд. 07 - ряд. 08 - ряд. 09.

Щоб визначити об’єкт оподаткування, потрібно вести окремий облік доходів та витрат щодо:

• патентованої діяльності;

• пільгової діяльності;

• оподатковуваної діяльності, яка не патентується.

У ряд. 01 — 06 декларації дані про доходи і витрати, розраховані за трьома видами діяльності, «згортаємо». Однак для кожного виду діяльності потрібно розраховувати свій прибуток.

 

Звільнений прибуток

Прибуток від діяльності, яка звільнена від оподаткування, розраховуємо у додатку ПЗ. Тут відображаємо доходи, отримані від пільгової діяльності, собівартість «пільгових» товарів/послуг та інші витрати, які відносяться до пільгової діяльності.

Увага! Деякі витрати будуть спільними для усіх видів діяльності, наприклад адміністративні витрати. Щоб розподілити їх між різними видами діяльності, можна використати такий показник, як відсоток доходів від кожного виду діяльності у загальній сумі доходів. Приклад такого розподілу наведено в табл. 2 (нижче). Звісно, для розподілу спільних витрат можна використати й інші показники, які, можливо, дозволять більш об’єктивно провести такий розподіл.

 

Таблиця 2. Розподіл спільних адміністративних витрат між видами діяльності

Показник

Усі види діяльності

Патентована діяльність

Звільнена діяльність

Оподатковувана діяльність, яка не патентується

Доходи

1000

500

200

300

Відсоток у загальній сумі доходів

100 %

50 %

(500 : 1000 х 100 %)

20 %

(200 : 1000 х 100 %)

30 %

(300 : 1000 х 100 %)

Адміністративні витрати

150

75

(150 х 50 %)

30

(150 х 20 %)

45

(150 х 30 %)

 

Якщо підприємство здійснює декілька видів пільгових операцій, які звільнені від оподаткування за різними нормами ПКУ, то прибуток/збиток від таких операцій потрібно вказати окремо. Кожен вид пільгових операцій позначаємо певною буквою алфавіту (від «А» до «Я») у таблиці 2 додатка ПЗ у розрізі підстав для звільнення від оподаткування (конкретних норм ПКУ).

У таблиці 1 додатка ПЗ для кожного виду пільгової діяльності буде розраховано свій прибуток/збиток (ряд. 9.1, 9.2, 9.3 тощо). Арифметична сума таких показників і дасть загальний прибуток чи збиток від пільгової діяльності (ряд. 09 декларації).

 

«Патентний» прибуток

Нагадаємо, що у 2014 році до «патентованої» належали 4 види діяльності (п.п. 267.1.1 ПКУ):

1) торговельна діяльність у пунктах продажу товарів;

2) діяльність з надання платних побутових послуг (Перелік № 1258);ср.

3) торгівля валютою;

4) діяльність у сфері розваг (крім державних грошових лотерей).

Якщо ви здійснюєте декілька видів патентованої діяльності, то доходи та витрати за ними доведеться обліковувати окремо (п. 152.2 ПКУ). За кожним з них вам потрібно визначити свій ПНП. Результати такого окремого обліку відображаємо у додатку ТП.

Для чого потрібен відокремлений облік?

Щоб правильно врахувати:

1) вартість торгових патентів (суму збору за провадження де­яких видів підприємницької діяльності). Адже вона не потрапляє до витрат, а зменшує суму ПНП. Таке зменшення здійснюється в розрізі кожного виду діяльності, що патентується (п. 152.1 ПКУ);

2) збитки за діяльністю, що патентується.

У додатку ТП визначаємо суму ПНП за кожним з видів діяльності, що патентується. Для цього призначено його ряд. А — А5 (для торговельної діяльності), Б — Б5 (для побутових послуг), В — В5 (для торгівлі валютою), Г — Г5 (для розваг).

Об’єкт оподаткування (прибуток або збиток) визначаємо окремо за кожним із видів діяльності, що патентується. Ці дані формуються у ряд. А4, Б4, В4 і Г4 додатка ТП. Підсумувавши об’єкти оподаткування від усіх видів діяльності, що патентується, у ряд. 08 додатка ТП отримаємо показник для заповнен­ня ряд. 08 декларації.

У ряд. А5, Б5, В5, та Г5 вказуємо вартість торгових патентів на здійснення кожного виду патентованої діяльності, дія яких припадає на звітний період. У нашому випадку беремо 2014 рік.

Суми ПНП в розрізі кожного виду діяльності, що патентується, розраховуємо у ряд. А, Б, В і Г. Їх дані визначаємо як різницю між сумою ПНП, яка відповідає базі оподаткування, та вартістю патентів. Дані ряд. А, Б, В і Г підсумовуємо у ряд. 12 додатка ТП та переносимо до ряд. 12 декларації.

Нюанс. Відокремлений облік діяльності, що патентується, призводить до того, що іноді доведеться сплатити ПНП від такої діяльності навіть у разі, якщо діяльність підприємства в цілому збиткова або ви отримали збитки за іншими видами діяльності. Тобто при від’ємному значенні у ряд. 07 декларації може бути вказано у ряд. 08 додатне значення прибутку від патентованої діяльності.

 

Податок з продажу цінних паперів

Нагадаємо, що до 03.08.14 р. діяла знижена ставка ПНП (10 %) для прибутку, отриманого від торгівлі цінними паперами (п. 151.4 ПКУ, який був вилучений з ПКУ Законом № 1621). Отже, прибуток від «ціннопаперових» операцій з 03.08.14 р. обкладається за основ­ною ставкою 18 % (п.п. 153.8.3 ПКУ).

Доходи від реалізації товарів (зокрема й цінних паперів) визнаються за датою переходу покупцеві права власності (п. 137.1 ПКУ). Отже, операції з цінними паперами, за якими право власності передане покупцю до 03.08.14 р., обкладаємо ПНП за ставкою 10 %. А з цієї дати — за ставкою 18 %.

Відповідно і в декларації операції, що обкладаються за різними ставками, мали б відображатись окремо. Але як саме?

ДФСУ у листі від 06.11.14 р. № 9666/7/99-99-19-02-01 рекомендує у ряд. 10 декларації відображати загальну суму ПНП (тобто «згорнуто») від операцій з торгівлі цінними паперами, що складається із сум податку, обчислених:

• за ставкою 10 %, — з 1 січня по 2 серпня 2014 року включно;

• за ставкою 18 %, — з 3 серпня по 31 грудня 2014 року включно.

При цьому в таблицях 1 та 2 додатка ЦП, в яких передбачено здійснення розрахунку ПНП за ставкою 10 %, фіскали рекомендують вказати показники за операціями, які здійснені платником з 01.01.14 р. по 02.08.14 р. включно.

Водночас вони нагадали, що згідно з п. 46.4 ПКУ платник може надати у складі декларації допов­нення, складене за довільною формою, де відобразить розрахунок суми фінрезультату за операціями з торгівлі цінними паперами, проведеними з 03.08.14 р. по 31.12.14 р. включно. Отже, розрахунок ПНП за операціями з цінними паперами розраховуємо таким чином:

• за період з 01.01.14 р. по 02.08.14 р. — складаємо «класичний» додаток ЦП до декларації;

• за період з 03.08.14 р. по 31.12.14 р. — складаємо додаток у «довільній» формі. По суті, можна подати «модернізований» додаток ЦП, у якому ставку 10 % замінити на ставку 18 % (ряд. 05 таблиці 1 та ряд. 05 таблиці 2).

Таким чином, до ряд. 10 декларації слід перенести суми ПНП, нараховані у «класичному» та «модернізованому» додатках ЦП.

Щодо заповнення додатка ЦП слід звернути увагу ще на один нюанс. «Ціннопаперові» збитки, які виникли за підсумками 2013 року, до додатка ЦП за 2014 рік не переносяться. Заборону на таке перенесення встановив п. 32 підрозд. 4 розд. ХХ ПКУ. Тому ряд. 03 таблиці 1 і ряд. 03 таблиці 2 додатка ЦП до декларації за 2014 рік не заповнюємо.

Також корисну інформацію з «ціннопаперових» питань можете знайти у коментарі до УПК № 400 у «БТ», 2015, № 3, с. 5.

 

Податок від «звичайної» та патентованої діяльності

У ряд. 11 декларації вказуємо суму ПНП, нараховану на прибуток, «очищений» від прибутків/збитків від пільгової діяльності та прибутків/збитків від діяльності, що підлягає патентуванню. Показник ряд. 11 розраховуємо за формулою, вписаною до назви цього рядка. Нагадаємо, що у 2014 році діяла основна ставка ПНП у розмірі 18 %.

До ряд. 12 декларації переносимо дані з ряд. 12 додатка ТП. Це сума ПНП, нарахованого на прибуток від патентованої діяльності, зменшена на вартість «зарахованих» торгових патентів.

 

Зменшуємо суму ПНП (додаток ЗП)

Для того щоб визначити «чисту» суму ПНП, яку потрібно буде заплатити в бюджет, нам потрібно ще врахувати суми, які були сплачені протягом року авансом. Для цього використовуємо додаток ЗП. Серед показників, які там фігурують, найбільше клопоту виникає із двома:

• щомісячними авансами (ряд. 13.7);

• авансами, сплаченими при виплаті дивідендів (ряд. 13.5.1).

Тож розглянемо їх детальніше.

Щомісячні аванси. Це аванси, які підприємство сплачувало протягом 2014 року. Як ви пам’ятаєте:

• у січні та лютому 2014 року щомісячні аванси сплачували виходячи з показників декларації за 2012 рік (ряд. 34);

—у березні — грудні 2014 року авансові внески сплачували виходячи з показників декларації за 2013 рік (ряд. 23).

Важливо! У ряд 13.7 додатка ЗП відображаємо суми нарахованих авансових внесків, а не фактично сплачені у 2014 році. Навіть якщо ви не сплатили нараховані аванси (маєте податковий борг), то враховувати потрібно всю нараховану суму авансів. Перехідні аванси, що підлягають сплаті в січні та лютому 2015 року, не враховуємо.

Якщо у 2014 році ви уточнювали суми авансових внесків (подробиці щодо таких дій ви можете знай­ти у «БТ», 2014, № 51, с. 22), то потрібно брати до уваги уточнені показники.

Дивідендні аванси. При виплаті дивідендів засновникам-юрособам емітент* сплачує авансові внески з ПНП (п.п. 153.3.2 ПКУ). Такі аванси зменшують нараховану суму ПНП, однак потрібно виконати деякі формальності.

* Нагадаємо, що дивідендні аванси повинні сплачувати всі резиденти, навіть якщо вони не є платниками ПНП, зокрема і платники єдиного податку (абзац третій п.п. 153.3.2 ПКУ). Від такої «повинності» були звільнені лише платники фіксованого сільгоспподатку.

По-перше, при виплаті дивідендів разом із декларацією потрібно подати додаток АВ. Показник ряд. 05.1 цього додатка переноситься до ряд. 20 АВ декларації. У річних платників ПНП ряд. 21 та 22 декларації не заповнюються (лист Міндоходів від 07.03.14 р. № 5699/7/99-99-19-03-01-17// «БТ», 2014, № 11, с. 7, далі — лист № 5699).

Зверніть увагу! Усі платники у додатку АВ заповнюють і ряд. 5, і ряд. 5.1. «Неконсолідовані» платники ПНП до ряд. 5.1 переносять значення ряд. 5. Платники з філіями, які сплачують ПНП консолідовано, у ряд. 5.1 вказують лише «свою» частину суми дивідендного авансу з ряд. 5 додатка АВ. Тобто до ряд. 20 АВ декларації у них потрапить сума, яку сплатили за місцезнаходженням головного підприємства.

Додаток АВ необхідно складати навіть у тому випадку, якщо зобов’язання зі сплати авансового внеску не виникли, наприклад, при виплаті дивідендів фізособам.

По-друге, щоб розрахувати суму дивідендних авансів, яку можна врахувати у зменшення суми ПНП за звітний період, використовують додаток ЗП.

У ряд. 13.3 додатку ЗП вказуємо суму фактично сплачених дивідендних авансів протягом 2014 року (в повному обсязі).

Важливо. Сплатити дивідендний аванс потрібно навіть за наявності переплати з ПНП.

Якщо у попередні роки ви сплатили дивідендних авансів більше, ніж нарахували ПНП (є залишок неврахованих дивідендних авансів), то такі залишки переносимо до ряд. 13.4 додатка ЗП.

Сума, яка враховується в рахунок зменшення ПНП (ряд. 13.5.1 додатка ЗП), відображається в межах значення, отриманого в результаті розрахунку:

ряд. 11 декларації + ряд. 12 ТП декларації - ряд. 13.1 додатка ЗП - ряд. 13.6 додатка ЗП.

Якщо за результатами обчислення виходить:

• від’ємний результат (податкове зобов’язання відсутнє), то в ряд. 13.5.1 ставимо прокреслення;

• сума, що перевищує показник ряд. 13.5, то в ряд. 13.5.1 ставимо показник ряд. 13.5;

• сума в межах показника ряд. 13.5, то в ряд. 13.5.1 ставимо отриманий результат, а різницю — в ряд. 13.5.2.

До підсумкового ряд. 13 додатка ЗП потрапляє сума показників ряд. 13.1, 13.2, 13.5.1, 13.6 та 13.7 цього додатка.

Далі сума авансів із додатка ЗП потрапляє до ряд. 13 декларації, щоб зменшити податкове зобов’язання звітного року.

 

ПНП за звітний період

Суму ПНП за звітний рік розраховуємо у ряд. 14 декларації. Труднощів із таким розрахунком не повинно виникнути, адже формула розрахунку наведена у назві цього рядка. Однак часто виникає запитання: що робити, якщо результат розрахунку за цією формулою буде від’ємним? Тобто сума, на яку можна зменшити ПНП, більша, ніж сума ПНП, нарахована у ряд. 10 — 12. Наприклад, сума щомісячних авансів, нарахованих протягом року, більша, ніж сума ПНП.

Чи можна від’ємне значення поставити у ряд. 14?

Так, можна! Від’ємне значення у ряд. 14 означає, що платник переплатив ПНП, і таку переплату він має отримати з бюджету.

Квартальні платники ПНП у декларації за 2014 рік (для них це декларація за IV квартал) мають заповнити ряд. 15, до якого переносять показник ряд. 14 декларації за три квартали 2014 року. Сума, яка підлягає сплаті в бюджет, формується у ряд. 16 як різниця показників ряд. 14 та 15.

Зауважимо, у листі № 5699 податківці вказали: ряд. 15, 16, 18, 19, 21 та 22 декларації заповнюються лише платниками, у яких базовим звітним періодом є календарний квартал, та не заповнюються платниками, у яких базовим звітним періодом є календарний рік. Однак алгоритми перевірки річної декларації з ПНП у програмі ОПЗ налаштовані інакше. Там показник ряд. 14 автоматично переноситься до ряд. 16 (якщо ряд. 15 не заповнений).

До картки особового рахунка платника заноситься значення (лист № 5699):

• у річних платників ПНП — ряд. 14, 17 та 20 декларації;

• у квартальних платників ПНП — ряд. 16, 19 та 22 декларації.

Отже, навіть якщо річний платник заповнить в декларації і ряд. 14, і «зайвий» ряд. 16, то нічого страшного не трапиться. До картки особового рахунка потрапить лише одна сума ПНП (із ряд. 14).

 

ПНП із репатрійованих доходів

Якщо платник протягом року виплачував нерезидентам доходи, вказані у п. 160.1 ПКУ (проценти, дивіденди, роялті, фрахт тощо), то він зобов’язаний був утримати та сплатити в бюджет так званий податок з репатріації доходів. У загальному випадку ставка такого податку складає 15 % (для фрахту — 6 %), якщо інше не передбачено міжнародними договорами.

Суми таких доходів та утриманого податку потрібно вказати у додатку ПН до декларації та заповнити ряд. 17 ПН декларації. Квартальні платники заповнюють ще й ряд. 18 та 19.

 

Аванси 2015 року

Нагадаємо, що авансові внески у січні — грудні 2015 року та січні — травні 2016 року будуть сплачуватися згідно з п. 57.1 ПКУ у редакції, яка діяла до 01.01.15 р. (п. 9 підрозд. 4 розд. XX ПКУ, у редакції, що діє з 01.01.15 р.). Отже, у ряд. 23 декларації за 2014 рік можна сміливо розраховувати суму щомісячних авансів за старими правилами. Формула для розрахунку наведена у назві ряд. 23 декларації.

Порівняно з минулим роком склад платників щомісячних авансів теж не зміниться (див. табл. 3).

 

Таблиця 3. Порядок сплати щомісячних авансів у 2015 році

Платник

Звітний період

Порядок сплати ПНП

1

2

3

1. Платники ПНП, у яких доходи (ряд. 01 декларації) за 2014 рік не перевищують 10 млн грн.

2. Неприбуткові установи (організації).

3. Виробники сільгосппродукції.

4. Підприємства, створені у 2014 році.

5. Підприємства, які в 2014 році були платниками ЄП або ФСП, а з 01.01.15 р. перейшли на загальну систему оподаткування

Декларацію подають один раз на рік

1. Авансові внески не сплачують.

2. ПНП сплачують на підставі річної декларації

Платники ПНП, в яких:

• доходи за 2014 рік перевищують 10 млн грн.;

• у 2014 році та в I кварталі 2015 року отримано прибуток

Декларацію подають один раз на рік

1. Авансовий внесок сплачують щомісячно.

2. У річній декларації здійснюють остаточний розрахунок суми податку

Платники ПНП, в яких:

• доходи за 2014 рік перевищують 10 млн грн.;

• у 2014 році був прибуток, а в I кварталі 2015 року — збиток

Мають право подати декларацію та фінзвітність за I квартал, півріччя, три квартали та за 2015 рік(1)

1. Авансові внески сплачують у I кварталі 2015 року(2).

2. З квітня припиняють сплачувати авансові внески та сплачують ПНП на підставі квартальних декларацій

Платники ПНП, в яких:

• доходи за 2014 рік перевищують 10 млн грн.;

• у 2014 році був збиток, а в I кварталі 2015 року — прибуток

Декларацію подають за півріччя, три квартали та за 2015 рік

1. Авансові внески не сплачують.

2. Податок сплачують на підставі квартальних декларацій за півріччя, 9 місяців, рік

(1) Нова редакція п. 57.1 ПКУ, яка діє з 01.01.15 р., не передбачає можливість відмови від сплати щомісячних авансів у випадку, коли у I кварталі отримано збиток. Однак спеціальна норма п. 9 підрозд. 4 розд. XX ПКУ передбачає, що сплата авансів у 2015 році буде здійснюватись за «старими» правилами, сподіваємось, що фіскали не заперечуватимуть, що «старий» порядок відмови від авансових внесків теж діятиме, принаймні ще у 2015 році.

(2) Якщо платник не скористався своїм правом і не подав декларацію за I квартал, то він продовжує сплачувати авансові внески весь рік і подає тільки річну декларацію.

 

Обов’язкові додатки

Додатки до декларації подаємо у тому випадку, коли виникає необхідність розшифрувати дані певного рядка декларації чи іншого додатка. У таких рядках у їх коді є відповідна позначка (літерний код додатка). Наприклад, при заповненні рядка з кодом «03 ІД» потрібно обов’язково заповнити додаток ІД до декларації, щоб розшифрувати дані цього рядка. Якщо цей рядок у декларації не заповнений, то подавати додаток не потрібно.

Однак така логіка спрацьовує не завжди. Посилання на додаток АМ, у якому розшифровують дані про суми нарахованої амортизації та суми витрат на ремонт ОЗ, є лише у ряд. 06.4.27 АМ додатка ІВ. А в цьому рядку вказують лише суму амортизації тимчасової податкової різниці, яка виникла за результатами інвентаризації ОЗ станом на 01.04.11 р. Виходить, що у ситуації, коли такої тимчасової різниці немає, додаток АМ подавати не потрібно?

Звісно ні. Додаток АМ потрібно подавати, якщо ви нараховували амортизацію будь-яких об’єктів ОЗ/НА або у вас були витрати на ремонт ОЗ.

 

Висновки

  • Якщо ви подавали внутрішньорічні декларації, то декларацію за 2014 рік подайте не пізніше 09.02.15 р.

  • Якщо подаєте лише річну декларацію, то зробити це потрібно не пізніше 02.03.15 р.

  • При заповненні декларації з ПНП доходи визнаємо за датою переходу права власності на товари чи за датою підписання акта на виконані роботи, надані послуги.

  • Витрати, які формують собівартість товарів/послуг, визнаємо одночасно з доходами від реалізації товарів/послуг. Інші витрати визнаємо витратами того періоду, в якому вони були здійснені.

  • Авансову оплату не включаємо ні до складу доходів, ні до складу витрат.

  • При визначенні суми ПНП від патентованої діяльності враховуємо лише патенти, дія яких припадає на 2014 рік.

  • Суму нарахованого ПНП можна зменшити на авансові внески, які нараховані за січень — грудень 2014 року, а також на дивідендні аванси, сплачені у 2014 році.

  • Розрахунок щомісячних авансових внесків на березень — грудень 2015 року та січень — травень 2016 року проводимо за «старими» правилами, які діяли до 01.01.15 р.

Документи і скорочення Теми тижня

Закон № 1621 — Закон України «Про внесення змін до Податкового кодексу України та деяких інших законодавчих актів України» від 31.07.14 р. № 1621-VII.

Перелік № 1258  Перелік платних побутових послуг, на провадження діяльності з надання яких придбавається торговий патент, затверджений постановою КМУ від 29.12.10 р. № 1258.

УПК № 400 — Узагальнююча податкова консультація щодо окремих питань відображення в податковому обліку з податку на прибуток підприємств операцій з цінними паперами, затверджена наказом ДПСУ від 26.12.14 р. № 400.

УПК № 1171 — Узагальнююча податкова консультація щодо особливостей подання декларацій з податку на прибуток та сплати податку у 2013 році, затверджена наказом ДПСУ від 21.12.12 р. № 1171.

ОЗ  основні засоби.

ПНП — податок на прибуток.

НА — необоротні активи.

НМА — нематеріальні активи.

ЗВВ — загальновиробничі витрати.

ЄП — єдиний податок.

ФСП — фіксований сільськогосподарський податок.

App
Завантажуйте наш мобільний додаток Factor

© Factor.Media, 1995 -
Всі права захищені

Використання матеріалів без узгодження з редакцією заборонено

Ознайомитись з ліцензійним договором та договором-офертою

Приєднуйтесь
Адреса
м. Харків, 61002, вул. Сумська, 106а
Ми приймаємо
ic-privat ic-visa ic-visa ic-prostir

Ми використовуємо cookie-файли, щоб зробити сайт максимально зручним для вас та аналізувати використання наших продуктів та послуг, щоб збільшити якість рекламних та маркетингових активностей. Дізнатися більше про те, як ми використовуємо ці файли можна тут.

Дякуємо, що читаєте нас Увійдіть і читайте далі