У листі, що коментується, податківці роз’яснили поправки у РРО-законодавстві. Нагадаємо: такі поправки вніс Закон про податкову реформу від 08.12.14 р. № 71-VIII (далі — Закон № 71).
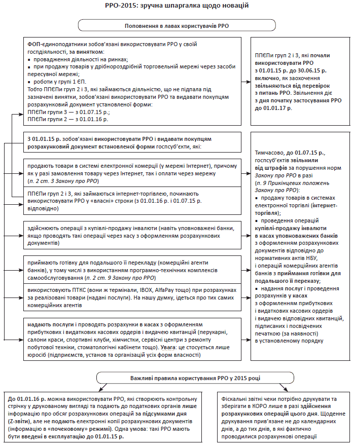
РРО. Вам уже відомо, що Закон № 71 значно розширив коло госпсуб’єктів, які зобов’язані використовувати РРО. Серед них ФОП-єдиноподатники груп 2 і 3 (однак їм надали відстрочення), юрособи, які надають послуги та проводять розрахунки через касу, інтернет-торговці, комерційні агенти банків, які приймають готівку для подальшого перерахування*. Але навіть якщо хтось з новоспечених користувачів РРО ще не встиг обзавестися апаратом, то відповідальність йому не загрожує: застосування штрафів згідно із Законом про РРО відклали до 01.07.15 р.
* Про це ви довідалися з газети «БТ», 2015, № 1-2, с. 37, № 5, с. 24.
Важливо. Податківці нічого не говорять про можливе застосування в першому півріччі 2015 року РРО-адмінштрафу за ст. 1551 КпАП у сумі від 85 до 170 грн. Це дає можливість сподіватися, що адмінштрафів у перехідному періоді для «новоспечених» також не буде.
Наочний посібник щодо застосування РРО у 2015 році ви знайдете на с. 7 цього номера.
Тут звернемо увагу на цікавий момент. Серед тих, кого зобов’язали застосовувати РРО з 01.01.15 р., опинилися госпсуб’єкти, які приймають готівку для подальшого її перерахування. Фіскали рапортують: ці зміни запропонував НБУ та пов’язані вони з популярністю програмно-технічних комплексів самообслуговування (ПТКС, вони ж термінали, IBOX, AlfaPay тощо), причому не лише для перерахування готівки, а й для оплати товарів, послуг. Тому податківці дійшли висновку, що встановити РРО та видавати покупцю фіскальний чек повинні не лише комерційні агенти банків, які переказують готівку, а й госпсуб’єкти, які використовують ПТКС при розрахунках за реалізовані товари (надані послуги). На перший погляд йдеться про продавців. Але якщо копнути глибше, доходимо висновку, що йдеться про тих самих комерційних агентів банку, які утримують ПТКС. Адже продавець, по суті, не користується ПТКС, він лише отримує оплату, причому в безготівковій формі.
Звертає увагу на себе ще один висновок фіскалів. Він, на щастя, більш зрозумілий і логічний. Так, коло користувачів РРО поповнилося за рахунок ППЄПів груп 2 і 3. Виняток становлять ті, хто провадить діяльність на ринках і продає товари у дрібнороздрібній торговельній мережі через засоби пересувної мережі. Податківці зазначають: акцент на конкретному способі діяльності, а не окремих формах ведення господарської діяльності та системі оподаткування. Тому, ППЄПи груп 2 і 3, які займаються іншими видами діяльності (що не підпадають під виняток), зобов’язані будуть застосовувати РРО. Корисні РРО-поради ви знайдете у «БТ», 2015, № 5, с. 24.
Перевірки. У 2015 році діє одночасно декілька мораторіїв на проведення перевірок. Детальніше про те, як вони кореспондують між собою, ви читали у статті «Перевірки-2015: кого пускати «на чай»?» // «БТ», 2015, № 6, с. 38.
Так от, у листі, що коментується, податківці також згадали про один з мораторіїв — прописаний у ПКУ. Нагадаємо: підприємства та ФОП з доходом до 20 млн грн. за попередній рік перевіряють виключно з дозволу КМУ, за заявкою самого госпсуб’єкта, за рішенням суду або згідно з вимогами Кримінального процесуального кодексу України. При цьому з 01.01.15 р. вже діє виняток — перевірки госпсуб’єктів, які ввозять в України та/або виробляють, та/або реалізують підакцизні товари, перевірки дотримання законодавства з питань наявності ліцензій, повноти нарахування та сплати ПДФО, ЄСВ, відшкодування ПДВ.
Як же тоді податківцям заявитися з фактичною РРО-перевіркою? Відповідь: податківці можуть проводити фактичні перевірки за наявності підстав, передбачених п. 80.2 ПКУ, у разі, якщо суб’єкт господарювання здійснює реалізацію підакцизних товарів.
Податківці також говорять про можливі фактичні перевірки суб’єктів, які займаються видами госпдіяльності, що підлягають ліцензуванню, а також про фактичні перевірки ФОП з питань повноти нарахування і сплати ПДФО. Однак, на нашу думку, ідеться не про РРО-перевірки.
