Де є операції з готівкою, там бути і документальному оформленню таких операцій. У разі коли готівкові розрахунки здійснюються через касу підприємства, документами, що підтверджують видачу або отримання готівкових грошових коштів, можуть бути ПКО і ВКО, а також відомість на виплату готівки. У цьому розділі спецвипуску розбиратимемо правила та порядок оформлення таких документів, а також нюанси заповнення «касових» облікових регістрів. Крім того, тут же розповімо про виправлення помилок у касовій документації.
4.1. Документообіг у касі: касир ↔ бухгалтер
«Касовий» документообіг перебуває «під опікою» бухгалтера і касира. До обов’язків саме цих працівників входять виписування і супровід касових документів на всіх етапах їх «життєдіяльності». І тут важливо розмежовувати, які конкретно обов’язки виконує бухгалтер, а які — касир. На жаль, законодавство щодо цього питання небагатослівне. Порядок розподілу таких обов’язків Положенням № 148 чітко не регламентований. Проте зі змісту цього документа все ж можна дійти певних висновків про те, що саме при роботі з готівкою входить до обов’язків бухгалтера підприємства, а які функції покладені на касира. Тому давайте розбиратися.
Розпочнемо з бухгалтера, відповідального за облік касових операцій і роботу з касовими документами. Так, до його обов’язків входять виписування та оформлення касових ордерів*. На це вказує абзац перший п. 32 Положення № 148.
* Зазначимо, що обов’язки з оформлення касових ордерів можуть бути покладені й на іншу відповідальну особу підприємства, у тому числі на касира.
Після оформлення касових ордерів бухгалтер передає їх на підпис відповідним посадовим особам. Так, ці документи повинні підписати:
— ПКО — головний бухгалтер або інша особа, уповноважена керівником підприємства**;
** Керівник підприємства визначає перелік посад і кількість посадових осіб, уповноважених підписувати касові документи, відповідним внутрішнім розпорядчим актом (п. 451 Положення № 148).
— ВКО — керівник підприємства та головний бухгалтер або інша особа, уповноважена керівником підприємства**. Виняток становить випадок, коли на документах, що додаються до ВКО (заявах, рахунках тощо), стоїть дозвільний напис керівника підприємства. У такому разі його підпис на ВКО не обов’язковий (абзац другий п. 26 Положення № 148).
Бухгалтер до передачі касових ордерів до каси підприємства реєструє їх у журналі реєстрації прибуткових і видаткових касових документів*** (абзац перший п. 33 Положення № 148).
*** Про заповнення цього журналу ви можете прочитати в підрозділі 4.7 нижче.
Після отримання з бухгалтерії прибуткових та/або видаткових касових ордерів касир:
— перевіряє правильність їх складання та виписування;
— здійснює за ними безпосередньо операції приймання (видачі) готівки;
— відображає записи за касовими ордерами в касовій книзі (див. підрозділ 4.8 нижче).
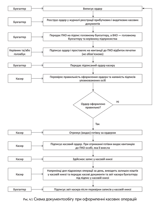
Для більшої наочності дії бухгалтера і касира при оформленні операцій з готівкою наведемо схематично на рис. 4.1.

4.2. Оформляємо касові документи: що потрібно врахувати?
При оформленні касових документів украй важливо все зробити правильно. Адже при неналежному оформленні таких документів касир просто не має права приймати і видавати за ними грошові кошти. Які загальні вимоги до складання ПКО і видаткових касових документів установлює законодавство, ми розповімо прямо зараз.
Загальні вимоги
Як ви вже знаєте, касові документи виписує бухгалтер (або інша відповідальна особа підприємства, на яку покладено обов’язок з оформлення цих документів). При цьому він повинен враховувати низку вимог до їх складання, передбачених Положенням № 148. Перелічимо їх.
1. Прибуткові та видаткові касові документи виписують в одному екземплярі.
2. Касові документи заповнюють будь-яким способом, який забезпечив би належне збереження цих записів протягом установленого для зберігання документів строку* (абзац перший п. 32 Положення № 148).
* Про строки зберігання касових документів див. у спецвипуску «Податки та бухгалтерський облік», 2017, № 68, с. 3 і 74.
3. Касові документи можуть бути складені в паперовій або електронній формі. Електронні касові документи оформляють відповідно до вимог законодавства України у сфері електронного документообігу (абзац третій п. 23 Положення № 148).
4. У касових ордерах зазначають підстави для їх складання, а також перелічують додані до них документи (абзац другий п. 32 Положення № 148).
5. У касових документах при зазначенні сум національної грошової одиниці гривні можна використовувати її графічний знак (п. 36 Положення № 148).
6. Виправлення в касових ордерах і відомостях на виплату готівки не допускаються (абзац четвертий п. 32 Положення № 148).
Якщо в касовому документі припустилися помилки, слід оформити новий документ
7. Приймання і видачу готівки за касовими ордерами можна здійснювати тільки в день їх складання (абзац третій п. 32 Положення № 148). Якщо за оформленим касовим ордером готівку до каси протягом дня отримано (видано) не було, касир підприємства повертає такий ордер до бухгалтерії. Бухгалтер, у свою чергу, анулює цей документ і робить у журналі реєстрації прибуткових і видаткових касових документів відповідну відмітку.
А ось у разі видачі грошей за відомістю на виплату готівки ця вимога не працює. Тут «включаються» інші правила. Так, відповідно до п. 18 Положення № 148 підприємства у загальному випадку мають право зберігати у своїй касі готівку, одержану в банку для виплат, що належать до фонду оплати праці, а також пенсій, стипендій, дивідендів, понад установлений ліміт каси протягом 5 робочих днів, включаючи день одержання готівки в банку. Якщо виплата, що належить до фонду оплати праці, здійснюється за рахунок виручки, строк понадлімітного зберігання готівки в касі — 3 робочі дні з дня настання строків такої виплати. Зазначені виплати здійснюють за відомістю на виплату готівки протягом згаданих строків.
8. Видача касових документів на руки особам, які вносять або отримують готівку, заборонена (абзац другий п. 32 Положення № 148).
9. Заборонено виносити касові документи з приміщення підприємства без письмового дозволу керівника або головного бухгалтера (абзац другий п. 35 Положення № 148).
Нагадаємо також: корінці ПКО, за якими готівка була отримана до каси, і ВКО, за якими готівка була видана з каси, додають до звіту касира. Після обробки цього звіту прибуткові та видаткові касові ордери комплектують у хронологічному порядку, нумерують і формують у справи відповідно до номенклатури справ. Вони зберігаються відповідно до законодавства відповідальною особою, на яку керівником підприємства покладено цей обов’язок** (абзац перший п. 35 Положення № 148).
** Про зберігання документів на підприємстві див. у «Податки та бухгалтерський облік», 2017, № 68.
Окремо поговоримо про підписи в касових документах.
Підписи в касових документах
Нагадаємо, що касові документи мають бути підписані:
— ПКО і квитанція до нього — головним бухгалтером або особою, уповноваженою на це керівником підприємства***, а також касиром, що прийняв готівкові грошові кошти;
*** Підпис головного бухгалтера / уповноваженої особи може бути засвідчений відбитком печатки підприємства, якщо така є.
— ВКО / відомість на виплату готівки — керівником підприємства*, головним бухгалтером (уповноваженою на це особою), а також касиром, який видав готівку з каси, і особою, яка одержала грошові кошти.
* Крім випадку, коли до документа на видачу готівки додано заяви на видачу готівки, розрахунки тощо, на яких є дозвільний напис керівника.
Проте при реалізації цієї вимоги можуть виникнути певні запитання. Розглянемо їх.
Чи можна використовувати факсиміле? Нагадаємо: факсиміле є точним відтворенням будь-якого графічного оригіналу, у тому числі підпису, за допомогою засобів механічного, електронного або іншого копіювання. Це кліше, печатка, за допомогою яких можна багаторазово відтворювати власноручний підпис особи. Факсиміле використовують зазвичай посадові особи, до обов’язків яких входить підписання великої кількості документів, листів та інших ділових паперів.
У загальному випадку використання факсимільного відтворення підпису допускається при вчиненні правочинів у випадках, установлених законом, іншими актами цивільного законодавства або за письмовою згодою сторін, у якій мають міститися зразки відповідного аналога їх власноручних підписів (ч. 3 ст. 207 ЦКУ).
А що говорить із цього приводу «касове» Положення № 148?
У ньому, на жаль, прямої вказівки на можливість заміни власноручного підпису факсимільним аналогом немає
Отже, при оформленні прибуткових і видаткових касових ордерів, а також відомостей на виплату готівки ці документи мають бути підписані посадовими особами підприємства власноручно.
Про неможливість застосування факсимільного підпису при оформленні касових документів говорилося в листі НБУ від 30.10.2006 р. № 25-113/2453-11507.
Такої ж думки дотримувалися і податківці в роз’ясненні з підкатегорії 109.15 БЗ. Незважаючи на те, що ця консультація була «прив’язана» до Положення № 637, вважаємо, позиція фіскалів не змінилася, адже в Положенні № 148, як і в його попереднику, можливість використання факсиміле не передбачена.
Скільки підписів повинно стояти в касових документах при виконанні функції касира головним бухгалтером або керівником підприємства? Як ми вже говорили, у разі відсутності такої штатної одиниці, як касир, його функції може виконувати головний бухгалтер або керівник підприємства (див. підрозділ 2.1 розділу «Касир на підприємстві»). Але, на нашу думку, це не означає, що, наприклад, на ПКО може ставитися один підпис. Адже коло обов’язків головбуха і касира не збігається.
Відповідно, ставлячи підпис за касира, працівник засвідчує, що виконав обов’язки касира, а ставлячи підпис за головного бухгалтера — обов’язки головного бухгалтера (крім різних обов’язків, слід пам’ятати і про різну відповідальність задіяних у документообігу посадових осіб). Принаймні, такий підхід напевно дозволить уникнути звинувачень у неправильному оформленні ПКО.
Ця схема працює й у разі, коли обов’язки касира виконує керівник підприємства. Причому на необхідність підписання керівником підприємства касового ордера як від імені касира, так і від імені керівника в такій ситуації вказують і податківці (див. консультацію з підкатегорії 109.15 БЗ).
Але зауважте: раніше НБУ наполягав на тому, що за наявності на підприємстві посад головного бухгалтера і касира керівник не має права одноосібно підписувати касові документи (див. лист від 14.02.2012 р. № 11-117/708-1645**).
** На сьогодні лист скасовано як такий, що втратив актуальність.
Чи може видаткові документи замість керівника підписувати уповноважена ним особа? Якщо йшлося про підписання уповноваженою особою документів замість головного бухгалтера, проблем не було жодних. Формулювання пп. 25 і 26 Положення № 148 не надавали фіскалам приводу чіплятися. А ось щодо можливості проставляння підпису уповноваженою особою за керівника підприємства запитання на місцях іноді виникали. Наприклад, у листі ГУ ДФС у Полтавській обл. від 07.08.2018 р. № 3449/ІПК/16-31-14-04-22 податківці зазначали, що підписання ВКО іншою, ніж керівник, особою не передбачено.
Проте з 15.02.2019 р. у Положенні № 148 з’явився п. 451, який повинен присікти такі нападки з боку фіскалів. Відповідно до зазначеної норми керівник підприємства для забезпечення оптимального процесу документообігу та контролю може внутрішнім розпорядчим актом визначити відповідний перелік посад і кількість посадових осіб, уповноважених підписувати касові документи. І тут не уточнюється, за головбуха чи за керівника підприємства ставитимуть підписи уповноважені особи.
При цьому зауважте, що в такій ситуації в ПКО або ВКО слід зазначати прізвище та ініціали фактичного підписанта. Цього прямо вимагають податківці в листах ДФСУ від 13.07.2018 р. № 3102/6/99-99-14-05-01-15/ІПК і від 15.05.2018 р. № 2144/6/99-99-14-05-01-15/ІПК.
4.3. Порядок заповнення ПКО
Коли загальні питання з’ясовані, час братися за розгляд нюансів заповнення окремих касових документів. Почнемо з ПКО.
Типова форма прибуткового касового ордера № КО-1 наведена в додатку 2 до Положення № 148. Про те, які реквізити передбачені в ПКО і як вони мають бути заповнені, щоб касир міг отримати за ним готівку, ви дізнаєтеся з табл. 4.1.
Таблиця 4.1. Порядок заповнення реквізитів ПКО
| Реквізити ПКО | Порядок заповнення |
| «Ідентифікаційний код в Єдиному державному реєстрі підприємств та організацій України» | Наводять ідентифікаційний код підприємства згідно з Єдиним державним реєстром підприємств та організацій України |
| «Найменування підприємства/установи/організації)» | Зазначають найменування підприємства, в касі якого оприбутковується готівка, згідно зі статутними документами |
| Номер документа | Вписують порядковий номер ПКО, під яким він зареєстрований у журналі реєстрації прибуткових і видаткових касових документів. Раніше податківці стверджували, що нумерувати ПКО необхідно з початку кожного календарного року з номера «1» (див. роз’яснення з підкатегорії 109.10 БЗ, яке наразі скасовано). Потім НБУ у листі від 14.06.2018 р. № 50-0007/32822 (нині скасований як такий, що втратив актуальність) зазначив, що нумерацію ПКО можна здійснювати з початку кожного наступного календарного місяця в порядку зростання з номера «1» і завершувати в кінці місяця відповідним номером. Згодом погодилися з цим і податківці (див. листи ДФСУ від 25.06.2018 р. № 2825/6/99-99-14-05-01-15/ІПК та від 15.06.2018 р. № 20639/6/99-99-14-05-01-15). Оскільки ситуація нормативно не врегульована, на наш погляд, починати наново нумерацію ПКО можна з кожного: — календарного року; — календарного кварталу; — календарного місяця і навіть дня. Причому якщо протягом зазначеного періоду закінчується або змінюється форма касової книги та/або журналу реєстрації прибуткових і видаткових касових документів, нумерація ПКО повинна продовжуватися, щоб уникнути касових ордерів з однаковими номерами. Так вважають і податківці (див. роз’яснення з підкатегорії 109.10 БЗ*) |
| * У зв’язку з внесенням змін до Положення № 148 консультацію переведено до складу нечинних. Але оскільки зміни згаданого питання не зачіпають, вважаємо, думка податківців залишиться тією ж. | |
| Дата складання | Вписують дату складання ПКО. Вона повинна відповідати даті, під якою цей ордер зареєстрований у журналі реєстрації прибуткових і видаткових касових документів |
| «№ з/п» | Оскільки ПКО оформляються на кожну операцію з приймання готівки, у цьому реквізиті завжди проставляють «1». Це зазначалося у листі ДФСУ від 25.06.2018 р. № 2825/6/99-99-14-05-01-15/ІПК* |
| * Зазначимо, що раніше податківці в листі ГУ ДФС у м. Києві від 25.05.2018 р. № 24376/10/26-15-14- 09-12 виклали думку про те, що цей реквізит повинен збігатися з номером касового ордера і записом у журналі реєстрації прибуткових і видаткових касових документів. Проте ми такий висновок вважаємо нелогічним. У будь-якому разі відповідальність за неправильне зазначення в касовому ордері порядкового номера в графі «№ з/п» законодавством не передбачена. На це звертають увагу фіскали в листі ДФСУ від 16.07.2018 р. № 3117/6/99-99-14-05-01-15/ІПК. | |
| «Кореспондуючий рахунок, субрахунок» | Наводять кредит рахунка (субрахунку), з яким кореспондує дебет рахунка 30 «Готівка» |
| «Код аналітичного рахунку», «Код цільового призначення» | Ці реквізити заповнюють тільки в тому випадку, якщо підприємство застосовує спеціальну систему кодування господарських операцій, у тому числі надходження готівки в касу |
| «Сума цифрами», «Сума» | Зазначають суму прибуткової операції (окремо цифрами і прописом (гривень — прописом, копійок — цифрами)) |
| «Примітки» | За необхідності вписують примітки щодо отримуваних сум готівкових грошових коштів |
| «Прийнято від» | Зазначають, від кого прийнято готівку: прізвище, ім’я та по батькові фізичної особи або найменування підприємства, установи, організації. У ПКО, які оформляють на загальну суму проведених підприємством касових операцій (отримання готівки з банку за чеком і оприбуткування її в касі), цей реквізит не заповнюють (абзац п’ятий п. 32 Положення № 148). А ось в ПКО на суму виручки, вилученої з ящика РРО, цей реквізит, на нашу думку, заповнювати потрібно, оскільки винятків для цієї операції не передбачено |
| «Підстава» | Наводять підстави для внесення готівкових коштів до каси підприємства (див. табл. 3.1 у розділі «Загальні питання здійснення касових операцій») |
| «Додатки» | Перелічують документи, що додаються до ПКО і є підставою для його оформлення |
| «Головний бухгалтер», «Касир», «Одержав касир» | Проставляють підписи, а також прізвища та ініціали головного бухгалтера (особи, уповноваженої керівником підприємства)* і касира |
| * Підпис головного бухгалтера (уповноваженої керівником підприємства особи) на квитанції до ПКО може бути засвідчений відбитком печатки підприємства за її наявності (абзац другий п. 25 Положення № 148). Майте на увазі: якщо в ПКО замість головбуха розписується особа, уповноважена на це керівником підприємства, тут потрібно зазначити прізвище та ініціали саме такої особи (див., зокрема, лист ДФСУ від 15.05.2018 р. № 2144/6/99-99-14-05-01-15/ІПК і роз’яснення НБУ, наведене на його офіційному сайті: bank.gov.ua/control/uk/publish/article?art id=21761728&cat id=80928). | |
Зверніть увагу:
реквізити квитанції до ПКО дублюють реквізити самого ордера
Нагадаємо, що в загальному випадку складання ПКО — це обов’язок бухгалтера. У свою чергу, касир після отримання такого документа з бухгалтерії повинен перевірити (п. 34 Положення № 148):
— наявність і справжність підпису головного бухгалтера або іншої уповноваженої керівником особи;
— правильність оформлення ПКО і наявність усіх реквізитів;
— наявність перелічених у графі «Додатки» додатків.
У разі невиконання вимог, що пред’являються до порядку заповнення ПКО, касир повертає цей документ до бухгалтерії для відповідного оформлення.
Якщо ж у результаті перевірки ПКО з’ясовується, що він оформлений з дотриманням усіх зазначених вимог, то касир:
— приймає грошові кошти до каси підприємства;
— підписує ордер;
— видає квитанцію до ПКО на руки особі, яка здала гроші.
ПКО, за яким отримано готівку, додають до звіту касира.
Порядок заповнення ПКО проілюструємо на прикладі.
Приклад 4.1. 13.05.2019 р. начальник адміністративно-господарського відділу Кириленко Д. Ю. повертає до каси ТОВ «Лагуна» невитрачений залишок грошових коштів (у сумі 156,20 грн.), виданих йому раніше під звіт на господарські потреби.
Бухгалтер підприємства склав ПКО, на підставі якого касир прийняв цю суму до каси підприємства.
Як у цьому випадку слід заповнити ПКО (типова форма № КО-1), покажемо нижче.

Зауважте: згідно з п. 4.1 Методрекомендацій № 210 при проведенні перевірок дотримання касової дисципліни на підприємствах контролюючі органи звертають увагу на правильність заповнення всіх реквізитів ПКО. Зокрема, вони перевіряють наявність відповідних дат, номерів, сум, підстав для виписування касових документів, наявність підписів посадових осіб тощо.
4.4. Порядок оформлення ВКО
Тепер розглянемо порядок оформлення ВКО.
Типова форма видаткового касового ордера № КО-2 міститься в додатку 3 до Положення № 148. Перелік обов’язкових реквізитів ВКО і порядок їх заповнення наведемо в табл. 4.2.
Таблиця 4.2. Порядок заповнення реквізитів ВКО
| Реквізити ВКО | Порядок заповнення |
| «Найменування підприємства/установи/організації» | Наводять найменування (відповідно до статутних документів) підприємства, з каси якого видається готівка |
| «Ідентифікаційний код в Єдиному державному реєстрі підприємств та організацій України» | Вписують ідентифікаційний код підприємства згідно з Єдиним державним реєстром підприємств та організацій України |
| «№ з/п» | Проставляють номер рядка, тобто «1» (див. лист ДФСУ від 25.06.2018 р. № 2825/6/99-99-14-05-01-15/ІПК) |
| «Номер документа» | Зазначають порядковий номер ВКО, під яким він зареєстрований у журналі реєстрації прибуткових і видаткових касових документів. На нашу думку, починати наново нумерацію ВКО можна з кожного: — календарного року; — календарного кварталу; — календарного місяця і навіть дня. Така позиція базується на опублікованих роз’ясненнях податківців та НБУ (див. табл. 4.1 вище). Причому якщо протягом зазначеного періоду закінчується або змінюється форма касової книги та/або журналу реєстрації прибуткових і видаткових касових документів, нумерацію ВКО слід продовжувати, щоб уникнути наявності касових ордерів з однаковими номерами (див. роз’яснення з підкатегорії 109.10 БЗ*) |
| * Після набрання чинності Положенням № 148 ці роз’яснення були переведені до складу нечинних, проте не думаємо, що позиція податківців із цього приводу змінилася. | |
| «Дата складання» | Вписують дату складання ВКО. Вона повинна відповідати даті, під якою цей документ зареєстрований у журналі реєстрації прибуткових і видаткових касових документів |
| «Кореспондуючий рахунок, субрахунок» | Зазначають дебет рахунка (субрахунку), з яким кореспондує кредит рахунка 30 «Готівка» |
| «Код аналітичного рахунку», «Код цільового призначення» | Ці реквізити заповнюють тільки в тому випадку, якщо підприємство застосовує спеціальну систему кодування господарських операцій, у тому числі видачі готівки з каси |
| «Сума» | Відображають суму операції (окремо цифрами та словами (гривень — словами, копійок — цифрами)) |
| «Видати» | Наводять прізвище, ім’я та по батькові одержувача грошових коштів за ВКО. Якщо видача готівки здійснюється за довіреністю*, то в тексті ордера після прізвища, імені та по батькові одержувача бухгалтер зазначає прізвище, ім’я та по батькові особи, якій довірено отримати грошові кошти. У разі видачі грошових коштів за відомістю на виплату готівки тут вказують П. І. Б. касира, який видає готівку. Так рекомендує діяти НБУ в листі від 07.03.2018 р. № 50-0007/13560. Такої ж думки дотримуються і фіскали (див. лист ГУ ДФС у Київській обл. від 08.08.2018 р. № 3459/ІПК/10-36-14-06-16)**. Аналогічним чином заповнювати цей реквізит слід при складанні ВКО для здавання готівки до банку (див. лист НБУ від 12.06.2018 р. № 50-0007/32326). Тобто в цьому випадку зазначають П. І. Б. касира або іншої особи, що фактично здає готівку |
| * Про порядок складання довіреностей на отримання грошей див. у підрозділі 4.6 нижче. ** Логічніше було б наводити тут відповідний підрозділ підприємства, який одержує грошові кошти. Адже готівку, на яку оформляється такий ВКО, видано за відомістю працівникам підприємства, а не під звіт касирові. Та й підпис про отримання грошових коштів у такому ВКО касир не ставить. Примітно, що раніше такої ж думки дотримувався і НБУ (див. нині відкликаний лист від 22.04.2013 р. № 11-117/1363/4874). Проте тепер він змінив свою позицію. Враховуючи це, в реквізиті «Видати» ВКО безпечніше зазначати П. І. Б. касира або особи, яка його замінює. | |
| «Підстава» | Зазначають підстави для видачі готівкових коштів з каси підприємства (див. табл. 3.3 у розділі «Загальні питання здійснення касових операцій») |
| «Додаток» | Наводять документи, що додаються* до ВКО і є підставою для його оформлення. Це можуть бути заяви, розрахунки, відомості на виплату готівки, накази на відрядження тощо (див. п. 26 Положення № 148 і лист ДФСУ від 15.06.2018 р. № 20639/6/99-99-14-05-01-15). Окрім найменування документа, у цьому рядку слід зазначити його номер і дату |
| * Зверніть увагу: як додаток може бути зазначений тільки той документ, який існував на момент оформлення ВКО бухгалтером. Так, наприклад, у ВКО на здавання грошових коштів до банку не слід зазначати як додаток квитанцію банку на внесення готівки, адже така квитанція з’явиться пізніше. | |
| «Керівник», «Головний бухгалтер» | Тут проставляють свої підписи керівник* і головний бухгалтер (або особа, уповноважена керівником підприємства), а також зазначають їхні прізвища та ініціали |
| * Якщо на документах, доданих до ВКО, стоїть дозвільний напис керівника підприємства, у ВКО його підпис не обов’язковий (абзац другий п. 26 Положення № 148). Також зауважте: до 15.02.2019 р. податківці на місцях іноді заперечували проти підписання касових документів замість керівника підприємства іншою уповноваженою на це особою (див. лист ГУ ДФС у Полтавській обл. від 07.08.2018 р. № 3449/ІПК/16-31-14-04-22). Хоча, зазначимо, фахівці головного податкового відомства вважали таке підписання за можливе (див. лист ДФСУ від 13.07.2018 р. № 3102/6/99-99-14-05-01-15/ІПК). | |
| Остаточно вирішити цю проблему повинен п. 451 Положення № 148, що з’явився з 15.02.2019 р. Відповідно до зазначеної норми керівник підприємства для забезпечення оптимального процесу документообігу і контролю може внутрішнім розпорядчим актом визначити відповідний перелік посад і кількість посадових осіб, уповноважених підписувати касові документи. І тут не уточнюється, за головбуха чи за керівника підприємства ставитимуть підписи уповноважені особи. До речі, не проти такого підходу і НБУ. Так, у роз’ясненні, наведеному на його офіційному сайті (див. bank.gov.ua/control/uk/publish/article?art id=21761728&cat id=80928), говориться, що «у прибутковому та видатковому касових ордерах у графі «Керівник», «Головний бухгалтер», у разі їх підписання уповноваженою особою підприємства, має бути зазначено прізвище та ініціали уповноваженої особи підприємства». | |
| «Одержав» | Одержувач власноручно зазначає суму отриманих ним грошових коштів (гривень — словами, копійок — цифрами). У касових ордерах, які оформляють на загальну суму проведених підприємством касових операцій (видача грошових коштів за відомостями на виплату готівки, електронними платіжними засобами, здавання готівки до банку), реквізит «Одержав» не заповнюють (абзац п’ятий п. 32 Положення № 148) |
| «Підпис одержувача» | Фізична особа — одержувач грошових коштів підписом у цьому рядку підтверджує факт отримання готівки*. Цей реквізит не заповнюють у ВКО, що оформляються на загальну суму проведених підприємством касових операцій (зокрема, при видачі грошових коштів за відомостями на виплату готівки або здаванні готівки до банку). Про це говорить абзац п’ятий п. 32 Положення № 148 |
| * Важливий момент! ВКО, у яких видача готівки не підтверджена підписом одержувача, не приймають для виведення залишку коштів у касі (абзац другий п. 27 Положення № 148). При цьому суму готівки за такими видатковими документами додають до залишку готівки в касі виключно в день, у якому зазначені видаткові документи оформлені (п.п. 3 п. 58 Положення № 148). Надалі ця сума не враховується для розрахунку понадлімітних залишків готівки. Таким чином, непідписання одержувачем ВКО може загрожувати підприємству штрафом за перевищення ліміту каси згідно з Указом № 436 (див. розділ «Відповідальність у сфері готівкового обігу»). | |
| Дата отримання | Наводять дату, коли одержувачем були отримані грошові кошти з каси підприємства. Якщо касовий ордер оформляють на загальну суму проведених підприємством касових операцій (видача грошей за відомостями на виплату готівки, здавання готівки до банку), цей реквізит не заповнюють (абзац п’ятий п. 32 Положення № 148) |
| «Найменування, номер, дата та місце видачі документа, який засвідчує особу одержувача» | Вписують паспортні дані одержувача грошових коштів або дані іншого документа, який засвідчує його особу і може відповідно до законодавства використовуватися на території України для вчинення правочинів. У касових ордерах, які оформляють на загальну суму проведених підприємством касових операцій (видача грошей за відомостями на виплату готівки, здавання готівки до банку), цей реквізит не заповнюють |
| «Видав касир» | Проставляється підпис касира, що видав готівку, а також зазначаються його прізвище та ініціали |
Перш ніж підписати ВКО і видати за ним грошові кошти, касир зобов’язаний перевірити:
— правильність його оформлення та наявність усіх реквізитів;
— наявність і справжність підписів відповідних посадових осіб;
— наявність перелічених у ВКО додатків.
На підставі результатів такої перевірки він приймає рішення про можливість виплати грошей. Якщо хоча б одна із зазначених вимог не виконана, касир повертає документи до бухгалтерії для відповідного оформлення.
Претензій до оформлення ВКО немає? Касир видає грошові кошти з каси підприємства, підписує ордер і на всіх доданих до нього документах ставить відбиток штампу або напис «Оплачено» із зазначенням дати (число, місяць, рік). ВКО, за яким готівка була видана з каси, додається до звіту касира.
Краще розібратися в заповненні ВКО допоможе приклад.
Приклад 4.2. Керівником підприємства видано наказ від 07.05.2019 р. № 31 про відрядження заступника директора ТОВ «Лагуна» Коваленка Д. С. і виплату йому авансу на відрядження. На цій підставі 13.05.2019 р. бухгалтер підприємства склав ВКО на суму 3000,00 грн. і зареєстрував його в журналі реєстрації прибуткових і видаткових касових документів за № 24. Касир видав грошові кошти з каси.
Як заповнити ВКО в такій ситуації, покажемо нижче.

Окремо розглянемо нюанси оформлення ВКО, складених на загальну суму проведених підприємством касових операцій (видача готівки за відомостями, електронними платіжними засобами, здавання готівки до банку), на прикладі самостійного здавання касиром підприємства готівки до банку.
Так, у рядку «Видати» потрібно зазначити П. І. Б. касира, який здає готівку (див. лист НБУ від 12.06.2018 р. № 50-0007/32326).
У рядку «Підстава» зазначають підставу для видачі готівкових коштів з каси підприємства, наприклад: «виручка на поточний рахунок…», «депонована заробітна плата» тощо з необхідним для підприємства ступенем деталізації.
А як у цьому випадку бути з частиною ВКО, що стосується одержувача грошових коштів
Її при здаванні до банку готівки заповнювати не потрібно. Так, в абзаці п’ятому п. 32 Положення № 148 сказано, що у ВКО, які оформляються на загальну суму проведених підприємством касових операцій (у тому числі на здавання готівки до банку), реквізити «Одержав», «Дата», «Сума», «Підпис одержувача» і дані документа, що засвідчує особу одержувача, не заповнюються.
Водночас нам не зовсім зрозуміло, що НБУ мав на увазі, говорячи про незаповнення реквізиту «Сума». На наш погляд, сума може не заповнюватися тільки в реквізиті «Одержав». А ось окремий реквізит «Сума», де зазначається сума виданої з каси готівки цифрами і словами, вважаємо, заповнити необхідно.
Які документи в цьому випадку підтверджуватимуть, що готівка здана для зарахування на банківський рахунок підприємства, ви можете дізнатися з табл. 3.3 у розділі «Загальні питання здійснення касових операцій». Але зауважте, що ці документи не є додатком до ВКО.
Інших особливостей заповнення «узагальнюючих» ВКО законодавство не встановлює.
Приклад заповнення такого ВКО ви можете побачити нижче у підрозділі 4.6.
4.5. Видача готівки за відомістю
Прийшов час ґрунтовно поговорити про неодноразово згадувану нами раніше відомість на виплату готівки. Вона разом з касовими ордерами, розрахунковими документами, квитанціями програмно-технічних комплексів самообслуговування є касовим документом (п.п. 11 п. 3 Положення № 148).
Типова форма відомості на виплату готівки наведена в додатку 1 до Положення № 148.
Відомість, як і ВКО, застосовують для видачі готівки з каси (абзац перший п. 26 Положення № 148). При цьому відомість, як правило, оформляють кожного разу, коли потрібно здійснити ту чи іншу виплату відразу декільком працівникам або навіть особам, що не перебувають з підприємством у трудових відносинах.
Майте на увазі: видачу готівки особам, яких немає в штатному розписі підприємства, здійснюють за окремою відомістю (абзац третій п. 27 Положення № 148).
Крім того, зазвичай окремі відомості відкривають на кожен структурний підрозділ підприємства, а також на кожен вид виплат.
Порядок оформлення відомості на виплату готівки представимо в табл. 4.3.
Таблиця 4.3. Порядок заповнення реквізитів відомості на виплату готівки
| Реквізити відомості на виплату готівки | Порядок заповнення |
| «Найменування підприємства/установи/організації» | Зазначають найменування (згідно зі статутними документами) підприємства, що виплачує заробітну плату та інші доходи |
| «Ідентифікаційний код в Єдиному державному реєстрі підприємств та організацій України» | Уписують ідентифікаційний код підприємства згідно з Єдиним державним реєстром підприємств та організацій України |
| «Структурний підрозділ підприємства/установи/організації» | Наводять найменування структурного підрозділу підприємства (установи, організації), працівникам якого виплачується заробітна плата (інші доходи) за цією відомістю |
| «До відомості № _____» | Зазначають номер розрахункової відомості, на підставі якої складено відомість на виплату готівки |
| «У касу для оплати у строк з ____ до ____ 20__ року» | Наводять часовий інтервал, протягом якого має бути виплачена заробітна плата (інші доходи) за відомістю (тобто дату початку і закінчення виплати) |
| Тут враховуйте, що підприємства в загальному випадку мають право зберігати в касі готівку, одержану в банку для виплат, що входять до фонду оплати праці, а також пенсій, стипендій, дивідендів (доходів), у сумі понад установлений ліміт каси протягом 5 робочих днів, включаючи день отримання готівки в банку. Крім того, протягом 3 робочих днів із дня настання строків виплати в касі можна зберігати «понадлімітну» виручку, яку спрямовують для здійснення виплат, що належать до фонду оплати праці, в сумі, зазначеній у переданій до каси відомості (п. 18 Положення № 148). А ось щодо готівки, одержаної для виплати лікарняних та інших сум, які не включаються до фонду оплати праці згідно з Інструкцією № 5, строки зберігання в касі інші. Підприємство повинне здати їх до банку (якщо їх сума перевищує встановлений ліміт каси) не пізніше наступного робочого дня банку після одержання готівки. Тобто такі грошові кошти можуть зберігатися в касі 2 дні. Детальніше про це див. у розділі 5 «Ліміт каси». | |
| «у сумі» | Показують загальну суму заробітної плати та інших доходів, яка буде виплачена за цією відомістю, словами (гривень — словами, копійок — цифрами) та цифрами |
| «Керівник», «Головний бухгалтер» | Свої підписи проставляють керівник і головний бухгалтер або особа, уповноважена керівником підприємства (абзац перший п. 26 Положення № 148) |
| «Кореспондуючий рахунок (рахунок, субрахунок)» | Наводять дебет рахунка (субрахунку), з яким кореспондує кредит рахунка 30 «Готівка» |
| «Код аналітичного рахунку», «Код цільового призначення» | Ці реквізити заповнюють тільки в тому випадку, якщо підприємство застосовує спеціальну систему кодування господарських операцій, у тому числі видачі готівки з каси |
| «Відомість на виплату готівки № ___» | Зазначають порядковий номер відомості на виплату готівки |
| «за _____ 20 __ року» | Уписують період, за який виплачується зарплата (інший дохід) |
| «Кількість аркушів» | Наводять загальну кількість аркушів відомості на виплату готівки |
| «За цією відомістю виплачено гривень» | Відображають загальну суму заробітної плати (іншого доходу), виданої за цією відомістю, словами (гривень — словами, копійок — цифрами) та цифрами |
| «і депоновано гривень» | Вносять загальну суму депонованої заробітної плати (іншого доходу) словами (гривень — словами, копійок — цифрами) і цифрами |
| «№ з/п» | Проставляють порядковий номер рядка |
| «Табельний номер» | Наводять табельні номери одержувачів грошових коштів (за їх наявності) |
| «Прізвище, ім’я, по батькові» | Зазначають прізвища, імена та по батькові одержувачів грошових коштів |
| «Сума» | Відображають суму заробітної плати (іншого доходу), належну конкретній особі «на руки» |
| «Підпис про одержання» | Проставляється підпис фізичної особи, що підтверджує отримання нею заробітної плати або іншого належного доходу. Якщо особа не одержала заробітної плати (іншого доходу), навпроти її прізвища касир робить запис або проставляє відбиток штампу «Депоновано» |
| Зауважте: видачу грошей касир здійснює тільки особі, зазначеній у відомості на виплату готівки. Виняток із цього правила — видача заробітної плати (іншого доходу) за довіреністю (коли працівник не може сам отримати належну йому суму у зв’язку з хворобою або з інших поважних причин). У цьому випадку перед підписом про одержання грошей касир робить запис «За довіреністю» і додає цю довіреність (або її нотаріально засвідчену копію) до відомості на виплату готівки. | |
| «Примітки» | У цій графі за необхідності зазначають номер, серію, дату і місце видачі документа, що засвідчує особу одержувача грошових коштів. Нагадаємо: вимога щодо підтвердження особи одержувачів коштів шляхом пред’явлення паспорта або документа, що його замінює, міститься в абзаці першому п. 27 Положення № 148 |
| «Виплату здійснив», «Перевірив бухгалтер», «Відомість склав», «Відомість перевірив» | Тут свої підписи проставляють касир, який виплатив заробітну плату (інші доходи), і бухгалтер, що склав і перевірив відомість. У випадку якщо відомість має декілька сторінок, реквізити «Відомість склав» і «Відомість перевірив» друкують на останній сторінці |
| Разом (вписується самостійно) | Самою формою відомості на виплату готівки підсумковий рядок не передбачений. Водночас у п. 4 пояснення до заповнення додатка 1 до Положення № 148 говориться, що при заповненні відомості після останнього запису на сторінці в ній залишають рядок для відображення загальної суми виплат особам, зазначеним на цій сторінці |
Належним чином оформлену відомість передають на підпис головному бухгалтеру та керівнику підприємства. Далі вона «переправляється» до каси для виплати готівки.
Після отримання оформленої відомості на виплату готівки касир зобов’язаний перевірити:
— наявність на документах і справжність відповідних підписів (головного бухгалтера та керівника);
— правильність оформлення відомості та наявність усіх її реквізитів.
Якщо хоча б одна з вимог, що пред’являються до оформлення відомості на виплату готівки, не виконана, касир повинен повернути її до бухгалтерії для відповідного переоформлення (абзац п’ятий п. 34 Положення № 148).
Відомість оформлена правильно? Тоді касир на її підставі виплачує з каси підприємства суми коштів, належні відповідним особам.
Цікавий момент! На практиці трапляється, що податківці пред’являють вимогу про зазначення у відомості на виплату готівки суми словами кожним одержувачем, погрожуючи чималими штрафами. При цьому вони посилаються на перші два речення п. 27 Положення № 148. Процитуємо їх:
«Касир вимагає пред’явити паспорт або інший документ, що посвідчує особу..., у разі видачі окремим фізичним особам готівки (у тому числі працівникам установи/підприємства) за видатковим касовим ордером або видатковою відомістю, записує його найменування і номер, ким і коли він виданий. Фізична особа розписується у видатковому касовому ордері або видатковій відомості про одержання готівки із зазначенням одержаної суми (гривень — словами, копійок — цифрами)».
Із процитованої норми дійсно можна дійти висновку, що розписувати суму працівникам необхідно завжди — незалежно від того, за ВКО чи за відомістю вони одержують готівку. Але! На цьому п. 27 Положення № 148 не закінчується. Далі йде ще одне речення, яке податківці вважають за краще «не помітити». У ньому сказано: «одержувачі пред’являють паспорти чи документи, що їх замінюють, якщо видаткова відомість складена на видачу готівки кільком особам, та розписуються у відповідній графі документа».
Із цього випливає, що
у відомості, складеній на декількох осіб, одержувачі готівкових коштів тільки розписуються у відповідній графі документа
А ось сума словами і дані паспорта / іншого документа одержувача, очевидно, потрібні, тільки якщо видача здійснюється за ВКО або за відомістю, складеною на одну окрему фізичну особу.
Звичайно, на одну особу зазвичай складають ВКО. Але теоретично скласти відомість теж можна. Головне, щоб здійснювана за такою відомістю виплата не носила одноразового характеру*.
* Нагадаємо: одноразові видачі коштів на виплати, пов’язані з оплатою праці, окремим особам слід здійснювати з використанням ВКО (п. 30 Положення № 148).
Але в будь-якому випадку штрафні санкції за нерозписування у відомості кожною особою сум одержаних нею грошових коштів застосовуватися не повинні. Детальніше про це див. «Податки та бухгалтерський облік», 2019, № 12, с. 26.
Після здійснення виплат за відомістю або після закінчення встановленого строку виплати касир повинен виконати такі дії (п. 31 Положення № 148):
1) у відомості на виплату готівки навпроти прізвищ осіб, які не одержали належної їм суми, в графі «Підпис про одержання» поставити штамп або зробити напис «Депоновано»;
2) зазначити фактично виплачену і неодержану суму заробітної плати (іншого доходу), що підлягає депонуванню (словами і цифрами), звірити ці суми із загальним підсумком за відомістю. Коли всі реквізити відомості заповнені, касир засвідчує її своїм підписом;
3) скласти реєстр депонованих сум, у якому ведеться аналітичний облік розрахунків з депонованої заробітної плати за кожною неодержаною сумою окремо. Форму реєстру наведено в Методичних рекомендаціях по застосуванню регістрів бухгалтерського обліку, затверджених наказом Мінфіну від 29.12.2000 р. № 356;
4) здійснити запис у касовій книзі згідно з виписаним бухгалтерією ВКО на фактично видану за відомістю суму.
У свою чергу,
бухгалтер підприємства повинен перевірити записи, здійснені касиром у відомості, і підрахувати видані та депоновані за нею суми
На суму, яку було депоновано, бухгалтер оформляє один загальний ВКО, на підставі якого зазначену суму здають до банку для зарахування на поточний рахунок підприємства.
А зараз розглянемо приклад.
Приклад 4.3. Касир підприємства ТОВ «Лагуна» 07.05.2019 р. одержав у банку за чеком грошові кошти на виплату заробітної плати за другу половину квітня 2019 року в сумі 81390,00 грн. Бухгалтер підприємства оформив ПКО на цю суму.
Сума фактично виплаченої заробітної плати становила 75690,00 грн. При цьому працівниця підприємства Короленко Н. П. з поважної причини не змогла самостійно одержати заробітну плату за другу половину квітня 2019 року. У зв’язку із цим її заробітну плату за довіреністю одержав її чоловік Грабовський К. Е.
Крім того, було депоновано заробітну плату працівника відділу маркетингу Соболєва І. О. на суму 5700,00 грн. з причини його відсутності у зв’язку з тимчасовою непрацездатністю в період виплати зарплати.
На суму фактично виплаченої і депонованої заробітної плати 13.05.2019 р. бухгалтер підприємства оформив ВКО, на підставі яких касир у цей же день здійснив записи в касовій книзі.
13.05.2019 р. суму депонованої заробітної плати здано до банку.
Далі покажемо, як у цьому випадку скласти відомість на виплату готівки, ВКО і реєстр депонованої заробітної плати.


* Про те, що тут потрібно зазначати П. І. Б. касира, який видає готівку, говорять податківці (див. лист ГУ ДФС у Київській обл. від 08.08.2018 р. № 3459/ІПК/10-36-14-06-16) і НБУ (див. лист від 07.03.2018 р. № 50-0007/13560).

* Згідно з листом НБУ від 12.06.2018 р. № 50-0007/32326.

4.6. Довіреність на отримання грошових коштів
У наведеному вище прикладі 4.3 ви могли бачити ситуацію, коли деякі працівники не змогли самостійно отримати належну їм суму заробітної плати у відведений для зберігання в касі «зарплатної» готівки строк (що це за строк, див. віще у підрозділі 4.2). Насправді, такі випадки при виплаті заробітної плати готівкою — не рідкість. Адже при виплаті доходу працівники можуть перебувати на лікарняному, у відпустці, відрядженні тощо.
Як ви пам’ятаєте, неодержаний працівником у строк готівковий дохід депонується. Але є альтернатива! Так, якщо працівник підприємства — одержувач грошових коштів при виплаті доходу бути присутнім не може, виплатити готівку з каси можна його довіреній особі. При цьому оформлення довіреності потрібно здійснювати відповідно до вимог гл. 17 ЦКУ.
Згідно з ч. 3 ст. 244 згаданого Кодексу довіреністю є письмовий документ, що видається однією особою іншій для представництва перед третіми особами. Тобто в цьому випадку на підставі довіреності одна особа (довіритель) надає іншій особі (повіреному) повноваження на здійснення певних дій, а саме — на отримання належних довірителю готівкових коштів.
Зауважте, що довіреність, оформлена відповідно до вимог ЦКУ, повинна містити такі реквізити:
— назву виду документа в її заголовку (напис «Довіреність»);
— прізвище, ім’я та по батькові особи, яка видала довіреність, а також дані документа, що засвідчує особу (серія (за наявності) та номер паспорта (іншого документа), ким і коли виданий) та місце проживання;
— прізвище, ім’я та по батькові особи, якій видано довіреність, дані документа, що засвідчує її особу (серія (за наявності) та номер паспорта (іншого документа), ким і коли виданий) та місце проживання;
— строк дії довіреності. Майте на увазі: якщо в довіреності не зазначено строк її дії, то вона вважається безстроковою і зберігає чинність до припинення її дії (ч. 1 ст. 247 ЦКУ);
— дату складання. Наявність цього реквізиту обов’язкова в силу положень ч. 3 ст. 247 ЦКУ. Довіреність, у якій не зазначена дата її здійснення, є нікчемною;
— опис дій, на здійснення яких видано довіреність (отримання заробітної плати, лікарняних, матеріальної допомоги тощо);
— підпис довірителя;
— посвідчення підпису довірителя.
Довіреність на отримання заробітної плати має бути посвідчена
Відповідно до ч. 4 ст. 245 ЦКУ довіреність на отримання заробітної плати, стипендії, пенсії, аліментів, інших платежів може бути посвідчена посадовою особою підприємства, на якому довіритель працює (перебуває на стаціонарному лікуванні), або за місцем його проживання. При цьому нотаріального посвідчення такої довіреності законодавство не вимагає.
З такою довіреністю довірена особа йде до каси підприємства і передає її касиру. Той, у свою чергу, перевіряє правильність її оформлення і наявність перелічених вище реквізитів. Зокрема, касир ознайомлюється з повноваженнями повіреного, зазначеними в довіреності, а також перевіряє його особу і звіряє реквізити його паспорта (іншого документа, що засвідчує особу) з даними документа, зазначеними в самій довіреності.
Після цього в реквізиті «Видати» ВКО після прізвища, імені та по батькові одержувача коштів касир зазначає прізвище, ім’я та по батькові довіреної особи (абзац другий п. 28 Положення № 148). Далі до рядка «Найменування, номер, дата та місце видачі документа, який засвідчує особу одержувача» касир вносить реквізити документа, що засвідчує особу довіреної особи.
Якщо кошти видаються за відомістю на виплату готівки, то в графі «Підпис про одержання» перед підписом про одержання грошей касир робить запис «За довіреністю», після чого довірена особа проставляє свій підпис. Довіреність або її нотаріально посвідчена копія залишається в касира і додається до ВКО або відомості на виплату готівки.
З прикладом оформлення довіреності на отримання заробітної плати ви можете ознайомитися нижче.

4.7. Журнал реєстрації касових документів
Тепер ми можемо переходити до розгляду касових облікових регістрів. Розпочнемо з журналу реєстрації прибуткових і видаткових касових документів. У ньому наказує реєструвати всі прибуткові та видаткові касові ордери до передачі їх до каси підприємства абзац перший п. 33 Положення № 148. Робити це повинен бухгалтер.
ВКО, які оформлені на підставі відомостей на виплату готівки, реєструють після здійснення виплат, зазначених у відомості
На вибір підприємства Положенням № 148 представлено дві типові форми журналу реєстрації прибуткових і видаткових касових документів — № КО-3 і № КО-3а (див. додаток 4 до зазначеного Положення). Підприємство має право самостійно обрати, яку із цих форм воно застосовуватиме.
Журнал за формою № КО-3 або № КО-3а ведуть окремо за прибутковими і видатковими операціями. Причому суб’єкт господарювання веде один журнал реєстрації прибуткових і видаткових касових документів, у якому реєструє прибуткові та видаткові касові ордери (див. роз’яснення в підкатегорії 109.15 БЗ). Після закінчення журналу заводять новий.
Цікавий момент! У додатку 4 до Положення № 148, у якому наведено форми журналу реєстрації прибуткових і видаткових касових документів, є примітка такого змісту: «Типові форми КО-3, КО-3а ведуться за рішенням керівника». У скасованому нині Положенні № 637 примітка була іншою. Зокрема, вона свідчила, що форма № КО-3а ведеться за рішенням керівника замість ведення журналу за формою № КО-3.
Чи означає це, що на сьогодні журнал реєстрації прибуткових і видаткових касових документів можна не вести зовсім? На нашу думку, ні. Адже цього вимагає п. 33 Положення № 148. Тим паче, що зазвичай реєстрація в ньому відбувається автоматично при виписуванні нового ПКО або ВКО за допомогою комп’ютерної техніки. Та й при заповненні касових ордерів вручну журнал реєстрації прибуткових і видаткових касових документів допоможе не заплутатися з нумерацією.
Крім того, податківці в консультаціях з підкатегорії 109.15 БЗ роблять акцент на вимозі п. 33 Положення № 148 вести такий журнал, а не на сумнівній примітці в додатку 4 до нього.
Порядок заповнення реквізитів журналів реєстрації прибуткових і видаткових касових документів типових форм № КО-3 і № КО-3а наведемо в табл. 4.4.
Таблиця 4.4. Порядок заповнення журналу реєстрації прибуткових і видаткових касових документів
| Реквізити типових форм № КО-3 і № КО-3а | Порядок заповнення |
| «Найменування підприємства/установи/організації» | Наводять найменування (згідно зі статутними документами) підприємства, до каси якого вноситься або з каси якого видається готівка |
| «Ідентифікаційний код в Єдиному державному реєстрі підприємств та організацій України» | Зазначають ідентифікаційний код підприємства згідно з Єдиним державним реєстром підприємств та організацій України |
| «№ з/п» | Записують порядковий номер рядка |
| «Прибутковий документ: дата», «Видатковий документ: дата», «Прибутковий/видатковий документ: дата» | Наводять дату прибуткового або видаткового касового документа, що підтверджує надходження до каси підприємства або вибуття з неї грошових коштів |
| «Прибутковий документ: номер», «Видатковий документ: номер», «Прибутковий/видатковий документ: номер» | Зазначають номер* прибуткового або видаткового касового документа, що підтверджує надходження до каси підприємства або вибуття з неї грошових коштів |
| * Нагадаємо: раніше податківці стверджували, що касові ордери необхідно нумерувати з початку кожного календарного року з номера «1» (див. скасовану консультацію в підкатегорії 109.10 БЗ). Проте пізніше (див. лист ДФСУ від 25.06.2018 р. № 2825/6/99-99-14-05-01-15/ІПК) вони зазначили, що таку нумерацію можна здійснювати з початку кожного календарного місяця в порядку зростання з номера «1» і завершувати в кінці місяця відповідним номером. На нашу думку, обидва варіанти прийнятні (більше — в табл. 4.1 вище). | |
| «Сума» | Відображають суму, на яку виписано прибутковий або видатковий касовий документ |
| «Надійшло (витрачено) грошей: на заробітну плату, премії, стипендії» | Наводять суму готівки, що надійшла до каси (виданої з каси) для здійснення виплат, пов’язаних з оплатою праці, а також премій та стипендій |
| «Надійшло (витрачено) грошей: на відрядження та інші цілі» | Зазначають суму готівки, що надійшла до каси (виданої з каси) для здійснення витрат на відрядження та інших розрахунків |
| «Примітки» | Наводять короткий опис господарської операції з внесення/видачі готівки до каси / з каси підприємства (наприклад, внесення невитрачених підзвітних сум, отримання торгової виручки, виплата заробітної плати, здавання торгової виручки до банку, видача під звіт на господарські потреби тощо). Крім того, в цій графі може бути зроблена відмітка про анулювання ПКО або ВКО, якщо за ним протягом дня не було отримано (видано) готівку |
Зазначимо, що реєстрацію касових ордерів можна здійснювати за допомогою комп’ютерних засобів, які забезпечують формування і роздрукування необхідних касових документів (абзац другий п. 33 Положення № 148). При цьому в документі «Вкладний аркуш журналу реєстрації прибуткових і видаткових касових ордерів», який формується і роздруковується за відповідний день, повинно забезпечуватися формування даних для обліку руху коштів.
Остаточно проллє світло на заповнення журналу реєстрації прибуткових і видаткових касових документів такий приклад.
Приклад 4.4. У касі підприємства станом на 13.05.2019 р. залишок коштів становив 83890,00 грн., у тому числі на виплату заробітної плати — 81390,00 грн. За день 13.05.2019 р. у бухгалтерії підприємства оформлено такі касові документи:
— ПКО № 31 на суму 500,00 грн. — отримано в банку грошові кошти за чеком АЕ 3185634 для виплати авансу на відрядження працівнику підприємства;
— ПКО № 32 на суму 5600,00 грн. — отримано від ФОП Різник В. І. виручку від реалізації продукції;
— ПКО № 33 на суму 156,20 грн. — повернення до каси Кириленком Д. Ю. невитраченого залишку коштів, виданих йому раніше під звіт на госппотреби;
— ВКО № 24 на суму 3000,00 грн. — видано працівнику підприємства (Коваленку Д. С.) з каси аванс на відрядження;
— ВКО № 25 на суму 75690,00 грн. — виплачено за відомістю № 9 від 07.05.2019 р. заробітну плату за другу половину квітня 2019 року;
— ВКО № 26 на суму 5700,00 грн. — повернено до банку суму депонованої заробітної плати;
— ВКО № 27 на суму 5600,00 грн. — здано до банку виручку від реалізації продукції.
Ґрунтуючись на цих даних, наведемо приклад заповнення журналу за формою № КО-3а.

За тих же умов журнал реєстрації прибуткових і видаткових касових документів за формою № КО-3 буде заповнено так, як показано нижче.

4.8. Оформляємо і заповнюємо касову книгу
Основні правила
Типова форма касової книги № КО-4 наведена в додатку 5 до Положення № 148. У ній відображають усі надходження і видачу готівки в національній валюті.
Зверніть увагу: кожне підприємство, що має касу, веде одну касову книгу для обліку операцій з готівкою в національній валюті (без урахування кас відокремлених підрозділів*). На це вказує абзац другий п. 39 Положення № 148.
* Про ведення касових книг відокремленими підрозділами підприємств див. у розділі 8 «Касові операції у відокремленому підрозділі».
Почати ведення касової книги потрібно з оформлення її титульної сторінки. На ній зазначають найменування підприємства та його ідентифікаційний код згідно з Єдиним державним реєстром підприємств та організацій України.
Потім касову книгу прошнуровують, нумерують і на обороті останнього аркуша роблять напис: «У цій книзі пронумеровано та прошнуровано __ сторінок, опечатано відбитком печатки». Кількість аркушів засвідчує своїми підписами керівник підприємства і головний бухгалтер. Ці підписи можуть бути скріплені відбитком печатки юридичної особи (за її наявності).
При заповненні касової книги враховуйте такі вимоги Положення № 148:
1. Записи в касовій книзі касир здійснює за операціями одержання або видачі готівки за кожним касовим ордером в день її надходження або видачі (абзац перший п. 40 Положення № 148).
2. За відсутності руху готівки в касі протягом робочого дня записи в касовій книзі за цей день не здійснюються (абзац перший п. 40 Положення № 148).
3. Записи в касовій книзі касир здійснює у двох примірниках. Перші примірники, які є невідривною частиною аркуша (вкладні аркуші касової книги), залишаються в касовій книзі. Другі примірники є відривною частиною аркуша касової книги — звітами касира і є документами, за якими касири звітують про рух грошей у касі. При цьому якщо касову книгу ведуть вручну, заповнення відривної частини здійснюється через копіювальний папір. Перші та другі примірники повинні мати однакові номери (абзац шостий п. 39 Положення № 148).
4. Готівкові грошові кошти, видані за відомостями, на виплати, пов’язані з оплатою праці, відображають у касовій книзі після закінчення строків цих виплат (абзац другий п. 40 Положення № 148). Тобто в загальному випадку — після закінчення 5 робочих днів, включаючи день одержання готівки в установі банку. До цього в кінці дня за рядком «у тому числі на зарплату» зазначають суму за відомостями на виплату готівки, не списану у витрати каси.
Записи касових операцій починають на лицьовому боці невідривної частини аркуша за рядком «Залишок на початок дня». При цьому спочатку аркуш згинають по лінії відрізу, підкладаючи відривну частину аркуша під частину, яка залишається в книзі. Після заповнення лицьового боку невідривної частини аркуша касової книги відривну частину накладають на лицьовий бік невідривної частини і продовжують записи по горизонтальному лініюванню зворотного боку невідривної частини аркуша. Бланк звіту касира до кінця робочого дня не відривається.
Майте на увазі: залишок готівкових грошових коштів у касі підприємства на початок робочого дня (дані за рядком книги «Залишок на початок дня») має дорівнювати залишку готівки на кінець попереднього дня (дані за рядком книги «Залишок на кінець дня» за попередній день).
Якщо дані прибуткових і видаткових касових ордерів, виписаних протягом дня, не поміщаються на одному аркуші, заповнюють наступний аркуш касової книги.
Контроль за правильним веденням касової книги здійснює головний бухгалтер (інша особа, уповноважена керівником підприємства)
Щодня в кінці робочого дня касир виконує такі операції (абзац другий п. 40 Положення № 148):
— підбиває в касовій книзі підсумок операцій з оприбуткування і видачі готівки за день;
— виводить залишок готівки в касі на кінець дня (і відповідно на початок наступного дня);
— передає до бухгалтерії звіт касира — відривний аркуш (чи декілька відривних аркушів) касової книги з прибутковими і видатковими касовими ордерами, на підставі яких протягом дня приймали і видавали грошові кошти. На підтвердження факту прийняття звіту касира і документів, що додаються до нього (їх кількість у касовій книзі зазначається прописом), бухгалтер ставить свій підпис у вкладному аркуші касової книги.
Касову книгу відкривають на один календарний рік.
Може так статися, що після закінчення календарного року в касовій книзі залишилися незаповнені сторінки. Як з ними бути? Положення № 148 відповіді на це запитання не дає. Проте податківці в роз’ясненні з підкатегорії 109.15 БЗ рекомендували в такому разі на незаповнених сторінках проставляти прочерки або на наступній сторінці після останнього запису ставити дату закінчення книги, що засвідчується підписами керівника і головного бухгалтера підприємства. І хоча зараз це роз’яснення переведене до складу нечинних, гадаємо, до тих пір, поки податківці не висловлять іншої думки, можна і далі керуватися згаданими рекомендаціями.
Якщо касова книга закінчилася посеред року або змінилася її форма, слід завести нову. При цьому нумерація сторінок у ній повинна розпочинатися з номера «1». А ось прибуткові та видаткові касові ордери продовжуйте нумерувати суцільним порядком (див. підрозділи 4.3 і 4.4).
Касова книга в електронній формі
За умови забезпечення належного зберігання касових документів підприємства можуть вести касову книгу в електронній формі за допомогою комп’ютерних засобів (п. 41 Положення № 148). Трохи розповімо про нюанси ведення такої книги.
Передусім зазначимо, що частини аркуша електронної касової книги («Вкладний аркуш касової книги» і «Звіт касира») за формою та змістом повинні повністю відтворювати типову форму № КО-4, наведену в додатку 5 до Положення № 148. При цьому програмне забезпечення, за допомогою якого ведеться касова книга, повинне надавати можливості візуального відображення і роздрукування кожної з двох частин аркуша касової книги (вкладного аркуша і звіту касира).
Як і при заповненні книги вручну, записи в електронній касовій книзі здійснюють шляхом введення даних з первинних касових документів. Записи в касовій книзі повинні здійснюватися до початку наступного робочого дня (тобто із залишками на кінець попереднього дня). Сторінки касової книги повинні нумеруватися автоматично наростаючим підсумком з початку року.
При складанні електронного документа касової книги роздруковуються вкладний аркуш касової книги і звіт касира
У разі роздрукування вкладного аркуша касової книги в кінці місяця повинна автоматично роздруковуватися загальна кількість аркушів касової книги за цей місяць, а в разі роздрукування в кінці року — їх загальна кількість за рік.
Після роздрукування вкладного аркуша касової книги і звіту касира касир повинен перевірити правильність складання цих документів, підписати їх і передати звіт касира разом з відповідними прибутковими та видатковими касовими документами до бухгалтерії під підпис у вкладному аркуші касової книги.
Протягом року вкладний аркуш касової книги зберігається касиром окремо за кожен місяць. Після закінчення календарного року (чи за потребою) вкладні аркуші касової книги формуються в підшивки в хронологічному порядку. Загальна кількість аркушів за рік засвідчується підписами керівника і головного бухгалтера підприємства, а підшивки формуються в книгу.
Після закінчення календарного року касова книга на електронних носіях має бути передана для зберігання протягом строків, установлених законодавством. Нагадаємо: згідно з Переліком № 578 строк зберігання касових книг, як і інших касових документів, становить 3 роки (за умови завершення перевірки державними фіскальними органами з питань дотримання податкового законодавства).
На підставі даних, зазначених у прикладі 4.4 вище, наведемо приклад заповнення касової книги.

4.9. Книга обліку виданої та прийнятої старшим касиром готівки
Типова форма книги обліку виданої та прийнятої старшим касиром готівки № КО-5 наведена в додатку 6 до Положення № 148. Без неї вам не обійтися, якщо на підприємстві є відразу декілька касирів.
Якщо ж на підприємстві тільки один касир, то в загальному випадку облік прийнятої та виданої готівки ведуть у журналі реєстрації прибуткових і видаткових касових документів та в касовій книзі без застосування книги за формою № КО-5 (див. лист НБУ від 05.03.2012 р. № 25-310/528-2500).
Як працювати з книгою обліку виданої та прийнятої старшим касиром готівки, розповімо далі.
Старший касир перед початком робочого дня видає іншим касирам авансом необхідну для видаткових операцій суму готівки під підпис у книзі обліку виданої та прийнятої старшим касиром готівки (абзац перший п. 43 Положення № 148).
У свою чергу, касири в кінці робочого дня зобов’язані здати залишок готівки і касові документи за проведеними операціями старшому касиру під підпис у книзі за формою № КО-5.
Книгу обліку виданої та прийнятої старшим касиром готівки застосовують також для обліку коштів, виданих з каси підприємства довіреній особі, яка виплачує заробітну плату протягом установленого строку, і повернення нею наявної готівки та касових документів. Причому навіть у тому випадку, якщо на підприємстві тільки один касир. На це в період дії Положення № 637 вказували податківці в консультації з підкатегорії 109.15 БЗ (втратила чинність з 05.01.2018 р.).
З порядком заповнення реквізитів книги обліку виданої та прийнятої старшим касиром готівки ви можете ознайомитися в табл. 4.5.
Таблиця 4.5. Порядок заповнення типової форми № КО-5
| Реквізити книги обліку виданої та прийнятої старшим касиром готівки | Порядок заповнення |
| «найменування підприємства/установи/організації» | Зазначають найменування підприємства згідно зі статутними документами |
| «Ідентифікаційний код в Єдиному державному реєстрі підприємств та організацій України» | Наводять ідентифікаційний код підприємства згідно з Єдиним державним реєстром підприємств та організацій України |
| «прізвище, ім’я, по батькові старшого касира» | Зазначають прізвище, ім’я та по батькові старшого касира, який веде книгу обліку виданої та прийнятої старшим касиром готівки |
| «№ з/п» | Уписують порядковий номер рядка |
| «Дата» | Відображають дату проведення операцій |
| «Видано касиру (сума цифрами і словами)» | Наводять суму грошових коштів, виданих касиру старшим касиром для проведення операцій з видачі готівки протягом дня. Суму зазначають одночасно цифрами і словами |
| «Прізвище, ім’я, по батькові касира» | Зазначають прізвище, ім’я та по батькові касира, якому видано грошові кошти для проведення операцій з видачі готівки |
| «Підпис касира про одержання готівки» | Касир ставить свій підпис, що засвідчує одержання ним грошових коштів від старшого касира |
| «Здано касиром старшому касиру» | |
| «готівкою» | Наводять суму грошових коштів, яку касир у кінці робочого дня здає старшому касиру |
| «у тому числі отриманою за прибутковими операціями» | Відображають суму грошових коштів, що надійшли до каси підприємства за прибутковими касовими документами, яку касир наприкінці робочого дня здає старшому касиру (у тому числі з графи «готівкою») |
| «за сплаченими документами» | Зазначають суму грошових коштів, виданих протягом дня касиром за ВКО і відомостями на виплату готівки |
| «разом (сума цифрами та словами)» | Наводять загальну суму зданої старшому касиру готівки (гр. 6) і грошових коштів, виданих касиром протягом дня згідно з ВКО і відомостями на виплату готівки (гр. 8) |
| «Підпис старшого касира про одержання готівки та сплачених документів» | Старший касир ставить свій підпис на підтвердження факту отримання грошових коштів і касових документів |
Не можемо залишити вас і без прикладу заповнення книги обліку виданої та прийнятої старшим касиром готівки. Пропонуємо вам ознайомитися з ним.

4.10. Виправлення в касових документах та облікових регістрах
Заповнюючи касові документи та облікові регістри, звичайно, можна помилитися. Але страшного в цьому нічого немає, адже ситуацію можна виправити. Як — розповімо далі.
Розпочнемо з касових документів. Тут узагалі усе просто. Річ у тому, що вносити виправлення до касових ордерів і відомостей на виплату готівки заборонено (абзац четвертий п. 32 Положення № 148). А отже, єдиний спосіб виправити помилку — скласти новий, правильно оформлений документ.
А ось щодо касових облікових регістрів законодавець не такий суворий. Хоча в абзаці сьомому п. 39 Положення № 148 і сказано, що виправлення в касовій книзі не допускаються, у разі потреби коригування неправильного запису зробити все-таки можна. При цьому Положення № 148 вимагає, щоб усі виправлення були засвідчені підписами касира та головного бухгалтера або особи, яка його заміщає.
А ось коригування в журналі реєстрації прибуткових і видаткових касових документів (форми № КО-3 і № КО-3а) та в книзі обліку виданої та прийнятої старшим касиром готівки (форма № КО-5) узагалі нічим не заборонені. Отже, виправляти помилки в таких документах цілком допустимо.
Проте жодних особливих правил таких виправлень Положення № 148 не прописує. А отже, при внесенні коригувань до касових облікових регістрів доведеться дотримуватися загальних правил внесення виправлень, передбачених п. 4.2 Положення № 88.
Так, помилки в документах, створених у паперовій формі, можуть бути виправлені такими способами:
— «червоного сторно»;
— додаткових бухгалтерських проводок;
— коректурним. Цей спосіб передбачає закреслення неправильного тексту або цифр і проставляння над ними правильного тексту/цифр. При цьому закреслення роблять однією рискою так, щоб можна було прочитати виправлене. Далі роблять напис «виправлено» і проставляють дату виправлення. Потім напис своїми підписами засвідчують особи, які підписали цей документ.
Причому в журналах і книгах обліку касових операцій зазвичай використовують коректурний спосіб виправлення.
А що коли обліковий регістр складено в електронній формі
Тут, на жаль, є законодавча «діра». Річ у тому, що п. 4.6 Положення № 88 велить здійснювати виправлення помилок у документах і регістрах, створених у формі електронного документа, відповідно до законодавства.
Водночас, як зазначив Мінфін у листі від 14.01.2011 р. № 31-34020-07-27/23-8665/89, процедура виправлення помилок в електронних документах законодавчо не визначена. Тому фахівці згаданого відомства рекомендують застосовувати той же порядок, який передбачено Положенням № 88 для виправлення помилок у документах на паперових носіях.
Зауважте: який би обліковий регістр і в якій би формі не виправлявся, виправлення помилки завжди повинне супроводжуватися складанням бухгалтерської довідки. У ній відповідальний працівник (касир, відповідальний за ведення касової книги, або бухгалтер, що здійснює записи в обліковому регістрі) описує зміст помилки та причину її виникнення.
висновки
- Виписку й оформлення касових документів у загальному випадку здійснює бухгалтер, відповідальний за облік касових операцій і роботу з касовими документами.
- У ВКО, які оформляються на загальну суму проведених підприємством касових операцій, реквізити «Одержав», «Дата», «Підпис одержувача» і дані документа, що засвідчує особу одержувача, не заповнюються.
- Якщо працівник підприємства — одержувач грошових коштів при виплаті доходу бути присутнім не може, виплатити готівку з каси можна його довіреній особі на підставі довіреності.
- Усі прибуткові та видаткові касові ордери бухгалтер повинен зареєструвати в журналі реєстрації прибуткових і видаткових касових документів.
- За відсутності руху готівки в касі протягом робочого дня записи в касовій книзі за цей день не здійснюються.
- Виправлення в касових ордерах і відомостях на виплату готівки заборонено.
