На жаль, подробиць застосування цього критерію НП(С)БО 14 не розкриває. А ось МСФЗ 16 «Оренда» (міжнародний аналог НП(С)БО 14) із цього приводу уточнює, що ризики включають можливість виникнення збитків через невикористання потужностей або технологічне старіння активу, а також коливання рентабельності внаслідок зміни економічних умов. Вигодами можуть бути очікування рентабельного функціонування базового активу протягом строку його економічного використання та очікування доходу від збільшення його вартості або реалізації ліквідаційної вартості.
Крім того, п. 4 НП(С)БО 14 обумовлює низку ознак, за наявності хоча б однієї з яких оренду можна вважати фінансовою у бухоблікових цілях:
— орендар набуває права власності на орендований актив після закінчення строку оренди;
— орендар має можливість і намір придбати об’єкт оренди за ціною, нижчою за його справедливу вартість на дату придбання;
— строк оренди становить більшу частину строку корисного використання (експлуатації) об’єкта оренди;
— теперішня вартість мінімальних орендних платежів з початку строку оренди дорівнює або перевищує справедливу вартість об’єкта оренди;
— орендований актив має особливий характер, що дає змогу лише орендареві використовувати його без витрат на модернізацію, модифікацію, дообладнання;
— орендар може продовжити оренду активу за плату, значно нижчу за ринкову орендну плату;
— оренда може бути припинена орендарем, який відшкодовує орендодавцю його втрати від припинення оренди;
— доходи або втрати від змін справедливої вартості об’єкта оренди на кінець строку оренди належать орендареві.
Зверніть увагу: абсолютно не важливо, як ви «обізвете» вашу угоду в договорі лізингу. Якщо договір містить хоча б одну із зазначених вище умов, оренда вважається фінансовою, а облік орендних операцій за таким договором ведуть за спеціальними правилами, встановленими НП(С)БО 14 для фінлізингу.
Справедливо зауважити, що НП(С)БО 14 прямо про це не говорить. Проте такий висновок випливає з § 63 МСФЗ 16, у якому зазначено, що розділення оренди на фінансову або операційну залежить від суті операції, а не від форми договору. Ми вважаємо, що цей принцип застосовний і при укладенні договорів оренди, облік якої ведуть згідно з НП(С)БО 14.
Перед тим як перейти безпосередньо до бухоблікових правил відображення операцій фінлізингу, приділимо увагу специфічним фінлізинговим термінам, без знання яких ніяк не обійтися при обліку таких операцій (див. табл. 5.1).
Таблиця 5.1. Визначення термінів
| № з/п | Термін із НП(С)БО 14 | Визначення терміна |
| 1 | Мінімальні орендні платежі | Платежі, що підлягають сплаті орендарем протягом строку оренди (за вирахуванням вартості послуг і податків, що підлягають сплаті орендодавцю, і непередбаченої орендної плати), збільшені: |
| 1) для орендаря — на суму його гарантованої ліквідаційної вартості; 2) для орендодавця — на суму його гарантованої ліквідаційної вартості | ||
| Винятком є ситуації, коли орендар має можливість і наміри придбати об’єкт оренди за ціною, нижчою за його справедливу вартість на дату придбання. У такому разі мінімальні орендні платежі складаються з мінімальної орендної плати за весь строк оренди і суми, яку необхідно сплатити за угодою на придбання об’єкта оренди. | ||
| 2 | Непередбачена орендна плата | Частина орендної плати, яка не зафіксована конкретною сумою і розраховується шляхом застосування показників інших, ніж строк оренди (обсяг продажу, рівень використання, індекс інфляції та цін, ринкові ставки відсотка тощо) |
| 3 | Гарантована ліквідаційна вартість | Для орендаря: частина ліквідаційної вартості, що гарантується до сплати орендарем або пов’язаною з ним стороною. Для орендодавця: частина ліквідаційної вартості, що гарантується до сплати орендарем або незалежною третьою стороною, здатною за своїм фінансовим станом відповідати за гарантією |
| 4 | Негарантована ліквідаційна вартість | Частина ліквідаційної вартості об’єкта оренди, отримання якої орендодавцем не забезпечене або гарантоване лише пов’язаною з ним стороною |
| 5 | Теперішня вартість мінімальних орендних платежів | Дисконтована сума майбутніх платежів (за вирахуванням суми очікуваного відшкодування), яка, як очікується, буде потрібна для погашення зобов’язання. Тобто це приведена шляхом дисконтування (тобто за допомогою дисконтної ставки) до сьогоднішнього моменту вартість платежів, сплата яких очікується в майбутньому |
| Декілька слів скажемо про те, чим викликана необхідність дисконтування, тобто розрахунку теперішньої вартості мінімальних орендних платежів. Річ у тому, що фінлізингові операції значно розтягнуті в часі. При цьому відомо, що з часом вартість грошей зменшується: сьогоднішня вартість гривні вища, ніж її вартість завтра. Саме з цієї причини кредитору дуже важливо знати, які доходи будуть отримані від операції, що здійснюється, аби визначити, чи варто взагалі вкладати кошти. Позичальника ж цікавить, скільки і коли він повинен сплачувати кредитору та чи будуть перевищені доходи від використання позикових коштів витратами на позику. Щодо операцій з фінансової оренди дисконтування здійснюється за орендною ставкою відсотка. | ||
| 6 | Орендна ставка відсотка | Ставка відсотка, при використанні якої теперішня вартість суми мінімальних орендних платежів і негарантованої ліквідаційної вартості дорівнює справедливій вартості об’єкта фінансової оренди на початок строку оренди |
| Орендну ставку відсотка встановлює орендодавець для визначення суми доходу від орендної плати. За відсутності орендної ставки відсотка в договорі вона може відрізнятися у орендаря й орендодавця. | ||
Порядок розрахунку теперішньої вартості мінімальних орендних платежів за договором фінансової оренди залежить від того, коли згідно з угодою сторони нараховують орендні платежі: на початку або у кінці звітного періоду. Отже:
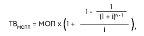
— якщо мінімальні орендні платежі нараховують на початку звітного періоду (кварталу, року), то застосовують таку формулу:

де ТВМОПП — теперішня вартість мінімальних орендних платежів за умови їх нарахування на початку звітного періоду;
МОП — сума мінімального орендного платежу, яку сплачують регулярно (ануїтет*);
* Ануїтет — це послідовність платежів (у нашому випадку — орендних) за конкретні регулярні проміжки часу.
n — кількість періодів, за які сплачують орендну плату і нараховують відсотки;
i — ставка відсотка для цього періоду;
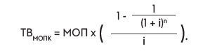
— якщо мінімальні орендні платежі нараховують у кінці звітного періоду (кварталу, року), то їх теперішню вартість визначають так:

де ТВМОПК — теперішня вартість мінімальних орендних платежів за умови їх нарахування у кінці звітного періоду.
Ну ось ми і розібралися із загальними термінами, встановленими НП(С)БО 14. Тепер саме час поговорити про особливості бухобліку операцій за договорами фінансового лізингу у лізингодавця і лізингоодержувача.
5.2. Бухоблік у лізингодавця
Передача об’єкта фінлізингу лізингоодержувачу
Правила бухобліку операцій за договорами фінансового лізингу у лізингодавця (орендодавця) описують пп. 10 — 15 НП(С)БО 14. І як передбачено цим документом, бухгалтерські наслідки таких операцій залежать від того, які активи орендодавець передає у фінлізинг:
1) об’єкт власних основних засобів або об’єкт, спеціально придбаний для передачі у фінансову оренду;
2) готову продукцію (тобто лізингодавець є виробником об’єкта лізингу).
Розглянемо облікові особливості для кожного з цих випадків.
1. Передача у фінлізинг власного об’єкта основних засобів або об’єкта, спеціально придбаного для цих цілей (тобто лізингодавець не є виробником об’єкта лізингу).
Порядок обліку в цьому разі встановлює п. 10 НП(С)БО 14. У ньому сказано, що лізингодавець при передачі об’єкта у фінансову оренду відображає дебіторську заборгованість орендаря в сумі мінімальних орендних платежів і негарантованої ліквідаційної вартості за вирахуванням фінансового доходу, що підлягає отриманню, з визнанням доходу від реалізації необоротних активів. Одночасно з цим орендодавець списує залишкову вартість об’єкта фінлізингу до складу витрат.
Як бачите,
передачу власних або спеціально придбаних основних засобів у фінансову оренду прирівнюють до їх продажу
А це означає, що в обліку лізингодавця таку операцію відображають відповідно до вимог НП(С)БО 27.
Тобто якщо об’єкт основних засобів придбавають спеціально для передачі у фінансовий лізинг, то його оприбутковують на субрахунок 286 одразу ж у момент зарахування на баланс. При цьому на субрахунок 286 такі активи зараховують за первісною вартістю, сформованою за правилами п. 9 НП(С)БО 9.
А ось власні основні засоби, щодо яких прийнято рішення про передачу у фінансовий лізинг, попередньо треба перевести до складу необоротних активів, утримуваних для продажу. Роблять це в такій послідовності:
— списують суму накопиченої амортизації за дебетом субрахунку 131 в кореспонденції з кредитом відповідного субрахунку рахунка 10;
— відображають переведення об’єкта основних засобів до складу необоротних активів, утримуваних для продажу, записом: Дт 286 — Кт 10 (на суму залишкової вартості об’єкта основних засобів).
У момент передачі у фінансову оренду необоротного активу, утримуваного для продажу (як того, що обліковувався раніше у складі власних основних засобів, так і спеціально придбаного), лізингодавець:
— визнає дохід від реалізації такого активу (кредит субрахунку 712) в сумі мінімальних орендних платежів і негарантованої ліквідаційної вартості за вирахуванням фінансового доходу (процентних платежів) й одночасно
— відображає довгострокову дебіторську заборгованість лізингоодержувача (дебет субрахунку 181).
Балансову вартість об’єкта лізингу при його передачі списують у дебет субрахунку 943.
Надалі частину заборгованості, строк погашення якої припадає на наступні 12 місяців, переводять до складу поточної дебіторської заборгованості записом: Дт 377 — Кт 181.
2. Передача у фінансовий лізинг основних засобів власного виробництва (готової продукції).
Лізингодавці — виробники об’єкта фінансової оренди діють трохи інакше, керуючись вимогами п. 13 НП(С)БО 14. А саме: лізингодавець відображає дебіторську заборгованість орендаря в сумі визнаного доходу (виручки) від реалізації готової продукції та теперішньої негарантованої ліквідаційної вартості об’єкта фінансової оренди одночасно з визнанням доходу (виручки) від реалізації готової продукції. При цьому дохід виробника від реалізації об’єкта фінансової оренди визнають за найменшою з двох оцінок:
— справедливою вартістю цього об’єкта або
— теперішньою вартістю мінімальних орендних платежів, обчисленою за ринковою ставкою відсотка*.
* Згадка про ринкову, а не про орендну ставку відсотка, зазначену в договорі, перекочувала в п. 13 НП(С)БО 14 з міжнародних стандартів, оскільки в міжнародній практиці орендодавці іноді штучно занижують ставку відсотка, що може призвести до відображення зайвої частини загального доходу у момент передачі об’єкта лізингу. Водночас у вітчизняній практиці цим нюансом зазвичай нехтують.
Отже, лізингодавці — виробники об’єктів фінлізингу показують передачу таких об’єктів кореспонденцією: Дт 181 — Кт 701.
Собівартість реалізованого об’єкта фінансової оренди визначають за його балансовою вартістю, зменшеною на теперішню негарантовану ліквідаційну вартість, віднесену на збільшення дебіторської заборгованості орендаря, і відображають за дебетом субрахунку 901.
Ну, звичайно ж, і тут не забувайте в міру необхідності (на кожну дату балансу) показувати переведення довгострокової дебіторської заборгованості за передані у фінлізинг активи до складу поточної дебіторської заборгованості за розрахунками з іншими дебіторами (Дт 377 — Кт 181).
Лізинговий платіж
Описуючи правові засади укладення договорів фінансового лізингу, ми вже згадували, що згідно з ч. 2 ст. 16 Закону № 1201 до складу лізингових платежів включаються:
— сума, що відшкодовує частину вартості об’єкта фінлізингу;
— винагорода лізингодавцю за отриманий у фінансовий лізинг об’єкт;
— інші складові, зокрема платежі та/або витрати, безпосередньо пов’язані з виконанням договору фінлізингу і передбачені таким договором.
Проте на практиці зазвичай сторони договору фінансового лізингу виділяють усього лише дві складові лізингового платежу:
1) суму компенсації вартості об’єкта лізингу;
2) суму відсотків (винагороди) за наданий у фінансовий лізинг об’єкт.
Причому в порядку бухобліку цих сум є відмінності.
Частина лізингового платежу в сумі, яка відшкодовує частину вартості об’єкта лізингу, є не чим іншим, як платіж, отриманий від лізингоодержувача в рахунок погашення його заборгованості за переданий об’єкт фінлізингу. Зазвичай отримання цієї частини лізингового платежу показують кореспонденцією: Дт 311 — Кт 377.
Різниця між сумою мінімальних орендних платежів і негарантованої ліквідаційної вартості об’єкта фінансової оренди та теперішньою вартістю зазначеної суми є фінансовим доходом орендодавця (пп. 11 і 14 НП(С)БО 14). Такий дохід нараховують за кредитом субрахунку 732.
Фінансовий дохід розподіляють між звітними періодами протягом строку оренди із застосуванням орендної ставки відсотка до залишку дебіторської заборгованості орендаря на початок звітного періоду.
Розподіл фінансового доходу між звітними періодами протягом строку фінансової оренди переглядають, якщо негарантована ліквідаційна вартість зменшувалася
Витрати орендодавця з укладення договору фінансового лізингу (юридичні послуги, комісійні винагороди) визнають іншими витратами того звітного періоду, в якому вони понесені (п. 15 НП(С)БО 14). Їх відображають за дебетом субрахунку 977.
З теорією розібралися. А тепер давайте тонкощі бухгалтерського обліку у лізингодавця розглянемо на числових прикладах.
Приклад 5.1. Підприємство-лізингодавець придбало за замовленням лізингоодержувача автомобіль вартістю 1200000 грн (у тому числі ПДВ 20 % — 200000 грн). За умовами договору фінансового лізингу транспортного засобу, укладеного строком на 3 роки (чи 36 місяців), підприємство-лізингоодержувач зобов’язується відшкодувати лізингодавцю вартість автотранспорту, після чого автомобіль перейде у власність лізингоодержувача. Негарантована ліквідаційна вартість об’єкта лізингу дорівнює нулю.
Орендну ставку відсотка встановлено в договорі на рівні 12 % на рік (тобто 1 % на місяць). Орендні платежі сплачуються щомісячно не пізніше останнього дня кожного місяця.
Давайте подивимося, як виглядає розрахунок сум орендних платежів відповідно до НП(С)БО 14. Одразу ж зазначимо: у нашому випадку теперішня вартість мінімальних орендних платежів дорівнює справедливій (договірній) вартості об’єкта лізингу (транспортного засобу) і становить 1200000 грн. До такого висновку легко дійти, якщо згадати визначення орендної ставки відсотка, наведене в п. 4 НП(С)БО 14.
Нагадаємо: під орендною ставкою відсотка розуміють ставку відсотка, при використанні якої теперішня вартість суми мінімальних орендних платежів і негарантованої ліквідаційної вартості дорівнює справедливій вартості об’єкта фінансової оренди на початок строку оренди. За умовами прикладу негарантована ліквідаційна вартість об’єкта лізингу дорівнює нулю, тобто теперішня вартість мінімальних орендних платежів відповідає справедливій (договірній) вартості об’єкта лізингу.
Тепер на підставі наявних даних ми можемо знайти суму мінімального орендного платежу, яку лізингоодержувач повинен сплачувати регулярно протягом усього строку дії договору фінансової оренди (ануїтет). Для цього скористаємося формулою розрахунку мінімальних орендних платежів у разі їх нарахування у кінці звітного періоду:

Перетворивши цю формулу, ми з вами легко зможемо визначити невідому складову (МОП):

Отже, ануїтет або регулярно сплачуваний мінімальний орендний платіж стано- вить:

Лізинговий платіж складається із:
— суми, що є відшкодуванням вартості об’єкта фінлізингу;
— суми відсотків (винагороди) за надане у фінансовий лізинг майно (фінансові доходи лізингодавця).
Із розрахунку випливає, що загальна сума мінімального орендного платежу — 1434858,12 грн (39857,17 грн/міс. х 36 міс.). З них фінансовий дохід становить 234858,12 грн (1434858,12 грн - 1200000 грн).
Тепер треба розподілити суму фінансового доходу між періодами.
У нашому випадку щомісячні платежі лізингоодержувача на користь лізингодавця після розподілу виглядатимуть так (див. табл. 5.2):
Таблиця 5.2. Розподіл щомісячного лізингового платежу
| Період | Ануїтет (мінімальна сума орендних платежів, що сплачується щомісячно) | Лізингові (орендні) платежі: | Залишок заборгованості орендаря на кінець періоду (гр. 5 попереднього рядка - гр. 4) | |
| у частині відсотків (фінансові доходи) (гр. 5 попереднього рядка х 0,01) | у частині відшкодування вартості об’єкта лізингу (гр. 2 - гр. 3) | |||
| 1 | 2 | 3 | 4 | 5 |
| 1200000 | ||||
| 1-й місяць | 39857,17 | 12000 | 27857,17 | 1172142,83 |
| 2-й місяць | 39857,17 | 11721,43 | 28135,74 | 1144007,09 |
| 3-й місяць | 39857,17 | 11440,07 | 28417,10 | 1115589,99 |
| ... | ||||
| 35-й місяць | 39857,17 | 785,34 | 39071,83 | 39462,62 |
| 36-й місяць | 39857,17 | 394,55* | 39462,62 | 0 |
| Всього | 1434858,12 | 234858,12 | 1200000 | — |
| * В останньому місяці фінлізингу суму фінансових доходів визначаємо з урахуванням залишку заборгованості за об’єктом оренди: 39857,17 - 39462,62 = 394,55 (грн). | ||||
Розберемо порядок розрахунку наведених в табл. 5.2 показників детальніше.
Суму фінансового доходу лізингодавця за кожен місяць (див. гр. 3 табл. 5.2) визначаємо шляхом застосування орендної ставки відсотка до залишку дебіторської заборгованості лізингоодержувача за об’єкт лізингу на початок такого місяця:
ФД1 = 1200000 грн х 0,01 = 12000 грн;
ФД2 = 1172142,83 грн х 0,01 = 11721,43 грн;
ФД3 = 1144007,09 грн х 0,01 = 11440,07 грн тощо.
Частину лізингового платежу, що відшкодовує вартість об’єкта лізингу (див. гр. 4 табл. 5.2), визначаємо як різницю між сумою лізингового платежу, що сплачується щомісячно (39857,17 грн), і сумою фінансового дохо- ду:
— за 1-й місяць: 39857,17 - 12000 = 27857,17 (грн);
— за 2-й місяць: 39857,17 - 11721,43 = 28135,74 (грн);
— за 3-й місяць: 39857,17 - 11440,07 = = 28417,10 (грн) тощо.
У свою чергу, залишок заборгованості лізингоодержувача на кінець кожного місяця (див. гр. 5 табл. 5.2) є заборгованістю орендаря з відшкодування вартості обладнання, отриманого у фінансову оренду.
Її ми розраховуємо таким чином:
— на кінець 1-го місяця: 1200000 - 27857,17 = 1172142,83 (грн);
— на кінець 2-го місяця: 1172142,83 - 28135,74 = 1144007,09 (грн);
— на кінець 3-го місяця: 1144007,09 - 28417,10 = 1115589,99 (грн) тощо.
У бухгалтерському обліку лізингодавця операції за договором фінлізингу автомобіля показують так, як наведено у табл. 5.3 (див. нижче).
Таблиця 5.3. Фінансовий лізинг спеціально придбаного майна
| № з/п | Зміст господарської операції | Кореспонденція рахунків | Сума, грн | |
| Дт | Кт | |||
| 1 | Перераховано передоплату продавцю автомобіля | 371 | 311 | 1200000 |
| 2 | Відображено податковий кредит з ПДВ (за наявності зареєстрованої в ЄРПН податкової накладної) | 644/1 | 644/ПДВ | 200000 |
| 641/ПДВ | 644/1 | 200000 | ||
| 3 | Оприбутковано автомобіль, призначений для подальшої передачі у фінансовий лізинг | 286 | 631 | 1000000 |
| 4 | Списано суму відображеного раніше податкового кредиту з ПДВ | 644/ПДВ | 631 | 200000 |
| 5 | Відображено залік заборгованостей | 631 | 371 | 1200000 |
| 6 | Передано автомобіль у фінансовий лізинг | 181 | 712 | 1200000 |
| 7 | Нараховано податкові зобов’язання з ПДВ | 712 | 641/ПДВ | 200000 |
| 8 | Списано собівартість переданого у фінансовий лізинг автомобіля | 943 | 286 | 1000000 |
| 9 | Частину довгострокової заборгованості з фінансової оренди переведено до складу поточної | 377 | 181 | 353298,65* |
| * Розраховуємо за даними гр. 4 табл. 5.2 (за 12 місяців): 27857,17 + 28135,74 + 28417,10 + ... = 353298,65 (грн). | ||||
| 10 | Нараховано та отримано лізинговий платіж у першому місяці фінлізингу (проводки роблять щомісячно протягом усього строку дії договору): | |||
| — нараховано лізинговий платіж в частині відсотків за користування майном за договором фінансового лізингу, тобто фінансовий дохід лізингодавця (див. гр. 3 табл. 5.2) | 373 | 732 | 12000 | |
| — отримано лізинговий платіж у частині відшкодування вартості об’єкта лізингу (див. гр. 4 табл. 5.2) | 311 | 377 | 27857,17 | |
| — отримано лізинговий платіж у частині відсотків за користування майном за договором фінансового лізингу (фінансовий дохід) | 311 | 373 | 12000 | |
| 11 | Відображено у складі фінансових результатів: | |||
| — дохід від передачі автомобіля у фінлізинг | 712 | 791 | 1000000 | |
| — собівартість переданого у фінлізинг автомобіля | 791 | 943 | 1000000 | |
| — фінансовий дохід | 732 | 792 | 12000 | |
Приклад 5.2. Змінимо умови попереднього прикладу. Припустимо, підприємство-лізингодавець передає у фінансовий лізинг власний автомобіль, що обліковується у нього на балансі. Справедлива вартість автомобіля згідно з договором фінансової оренди — 1200000 грн (у тому числі ПДВ — 200000 грн). Первісна вартість автомобіля — 1000000 грн, залишкова вартість — 900000 грн, сума нарахованого зносу — 100000 грн.
Нарахування та сплату лізингових платежів за договором фінансової оренди сторони здійснюють в порядку, наведеному в табл. 5.2 (див. раніше).
Договором фінансового лізингу, укладеним строком на 3 роки (чи 36 місяців), передбачено можливість повернення лізингоодержувачем орендованого майна. На момент повернення автомобіля лізингодавцю сума лізингових платежів, не сплачених за такий об’єкт лізингу, склала 230991,36 грн (у тому числі ПДВ — 38498,56 грн).
Лізингодавець у себе в обліку операції за договором фінлізингу покаже так (див. табл. 5.4):
Таблиця 5.4. Фінансовий лізинг власних основних засобів
| № з/п | Зміст господарської операції | Кореспонденція рахунків | Сума, грн | |
| Дт | Кт | |||
| 1 | Списано суму зносу автомобіля при зарахуванні його до складу необоротних активів, утримуваних для продажу | 131 | 105 | 100000 |
| 2 | Переведено автомобіль до складу необоротних активів, утримуваних для продажу | 286 | 105 | 900000 |
| 3 | Передано автомобіль у фінансовий лізинг | 181 | 712 | 1200000 |
| 4 | Нараховано податкові зобов’язання з ПДВ | 712 | 641/ПДВ | 200000 |
| 5 | Списано балансову вартість переданого у фінансовий лізинг автомобіля | 943 | 286 | 900000 |
| 6 | Частину довгострокової заборгованості з фінансової оренди переведено до складу поточної | 377 | 181 | 353298,65* |
| * Розраховуємо за даними гр. 4 табл. 5.2 (за 12 місяців): 27857,17 + 28135,74 + 28417,10 +... = 353298,65 (грн). | ||||
| 7 | Нараховано та отримано лізинговий платіж у першому місяці фінлізингу (записи роблять щомісячно до моменту повернення автомобіля лізингоодержувачем): | |||
| — нараховано лізинговий платіж в частині відсотків за користування майном за договором фінансового лізингу, тобто фінансовий дохід лізингодавця (див. гр. 3 табл. 5.2) | 373 | 732 | 12000 | |
| — отримано лізинговий платіж в частині відшкодування вартості об’єкта лізингу (див. гр. 4 табл. 5.2) | 311 | 377 | 27857,17 | |
| — отримано лізинговий платіж в частині відсотків за користування майном за договором фінансового лізингу (фінансовий дохід) | 311 | 373 | 12000 | |
| 8 | Відображено у складі фінансових результатів: | |||
| — дохід від передачі автомобіля у фінлізинг | 712 | 791 | 1000000 | |
| — балансову вартість переданого у фінлізинг автомобіля | 791 | 943 | 900000 | |
| — фінансовий дохід | 732 | 792 | 12000 | |
| 9 | Автомобіль повернено лізингоодержувачем | 152 | 631 | 192492,80 |
| 10 | Відображено податковий кредит з ПДВ (за наявності зареєстрованої в ЄРПН податкової накладної) | 644/1 | 631 | 38498,56 |
| 641/ПДВ | 644/1 | 38498,56 | ||
| 11 | Об’єкт основних засобів (автомобіль) введено в експлуатацію | 105 | 152 | 192492,80 |
| 12 | Відображено залік заборгованостей між лізингодавцем і лізингоодержувачем | 631 | 181 (377) | 230991,36 |
5.3. Бухоблік у лізингоодержувача
Отримання об’єкта фінлізингу
Отримання об’єкта фінлізингу в бухобліку лізингоодержувача відображають за правилами, встановленими п. 5 НП(С)БО 14. А він пропонує отриманий об’єкт зараховувати до складу активів і одночасно визнавати зобов’язання за найменшою на початок строку оренди оцінкою:
— справедливою вартістю активу або
— теперішньою вартістю мінімальних орендних платежів.
Зверніть увагу: якщо встановлено суму негарантованої ліквідаційної вартості, то справедлива вартість активу перевищує теперішню вартість мінімальних орендних платежів. Такий висновок випливає з визначення орендної ставки відсотка, наведеного в п. 4 НП(С)БО 14 (див. табл. 5.1). Тобто в цьому разі лізингоодержувач оприбутковує на баланс об’єкт фінансової оренди за теперішньою вартістю мінімальних орендних платежів.
При отриманні об’єкта фінлізингу лізингоодержувач показує зобов’язання перед лізингодавцем за кредитом субрахунку 531. Одночасно дебетують субрахунки:
— 152 — на найменшу з двох сум — справедливу вартість активу або теперішню вартість мінімальних орендних платежів (без урахування ПДВ);
— 641/ПДВ — на суму ПДВ, що входить до складу вартості об’єкта фінлізингу.
Надалі на кожну дату балансу частину довгострокової заборгованості, строк погашення якої припадає на наступні 12 місяців, переводять до складу поточної (Дт 531 — Кт 611).
Зауважте! До первісної вартості об’єкта основних засобів, отриманого у фінансову оренду (Дт 152), включають також інші витрати, зазначені у п. 8 НП(С)БО 7, а саме:
— реєстраційні збори, державне мито та аналогічні платежі, що здійснюються у зв’язку з придбанням (отриманням) прав на об’єкт основних засобів;
— суми ввізного мита;
— суми непрямих податків у зв’язку з отриманням основних засобів (якщо вони не відшкодовуються підприємству);
— витрати зі страхування ризиків доставки основних засобів (якщо згідно з договором фінансового лізингу ці витрати покладено на лізингоодержувача);
— витрати на транспортування, установку, монтаж, налагодження об’єкта основних засобів (якщо ці витрати покладено на лізингоодержувача);
— інші витрати, безпосередньо пов’язані з доведенням об’єкта основних засобів до стану, у якому він придатний для використання із запланованою метою.
Введення в експлуатацію об’єкта основних засобів, отриманого за договором фінлізингу, у бухобліку лізингоодержувача показують записом: Дт 10 (відповідний субрахунок) — Кт 152.
Лізинговий платіж
З опису порядку відображення лізингових платежів у бухобліку лізингодавця ви, напевно, пам’ятаєте, що лізинговий платіж зазвичай уключає дві складові:
— суму компенсації вартості об’єкта лізингу;
— суму відсотків (винагороди) за наданий у фінансовий лізинг об’єкт.
Аналогічним чином суму лізингового платежу поділяють і для відображення в бухобліку лізингоодержувача.
Перерахування частини лізингового платежу в сумі компенсації вартості предмета лізингу показують як погашення заборгованості за майно, отримане у фінансову оренду: Дт 611 — Кт 311.
Порядок бухгалтерського обліку відсотків за надання у фінансовий лізинг майна встановлений п. 5 НП(С)БО 14. Відповідно до нього різниця між сумою мінімальних орендних платежів і вартістю об’єкта фінансової оренди, за якою він був відображений у бухгалтерському обліку орендаря на початку строку фінансової оренди, є фінансовими витратами орендаря.
Фінансові витрати лізингоодержувачі відображають у бухобліку та звітності тільки в сумі, що належить до звітного періоду
Тобто їх показують не відразу при отриманні об’єкта фінлізингу, а шляхом розподілу між звітними періодами протягом строку фінансової оренди. Як це зробити? За допомогою застосування орендної ставки відсотка до залишку зобов’язань на початок звітного періоду. Приклад розрахунку фінансових витрат і розподілу їх між звітними періодами див. у табл. 5.5.
Якщо в договорі фінансової оренди не зазначено орендну ставку відсотка, то для визначення теперішньої вартості мінімальних орендних платежів і розподілу фінансових витрат між періодами орендар застосовує ставку відсотка на можливі позики орендаря. Такою вважається ставка, яку міг би сплачувати орендар за подібну оренду або (якщо цей показник визначити неможливо) ставку відсотка за позиками для придбання подібного активу (на той самий строк і з подібною гарантією) на початок строку оренди (п. 4 НП(С)БО 14).
На рахунках бухобліку нарахування лізингоодержувачем фінансових витрат показують записом: Дт 952 — Кт 684.
Після цього роблять проводку:
— Дт 792 — Кт 952, якщо відсотки не капіталізують, а визнають фінансовими витратами звітного періоду;
— Дт 15, 23 — Кт 952, якщо відсотки підлягають капіталізації.
Нагадаємо: фінансові витрати (у тому числі відсотки за фінансовою орендою), пов’язані зі створенням кваліфікаційних активів, підлягають капіталізації у випадках, передбачених НП(С)БО 31. При цьому під кваліфікаційним активом розуміють актив, який потребує суттєвого (більше 3 місяців) часу на його створення (п. 1.6 Методрекомендацій № 1300). Детально про порядок капіталізації відсотків, сплачених у зв’язку із залученням позикового капіталу, див. у спецвипуску «Податки & бухоблік», 2018, № 16, с. 47.
Амортизація об’єкта фінлізингу
Отже, ми з вами з’ясували, що отриманий об’єкт фінлізингу лізингоодержувач обліковує у складі власних активів. Тому абсолютно логічно, що саме лізингоодержувач у себе в обліку нараховує амортизацію вартості об’єкта фінлізингу. Так діяти пропонує й п. 7 НП(С)БО 14.
Амортизацію нараховують протягом періоду очікуваного використання об’єкта фінлізингу. При цьому періодом очікуваного використання є:
— строк корисного використання (якщо договором передбачено перехід права власності на актив до орендаря);
— коротший із двох періодів — строк оренди або строк корисного використання об’єкта фінансової оренди (якщо переходу права власності на об’єкт фінансової оренди після закінчення строку оренди не передбачено).
Вибір методу нарахування амортизації об’єкта фінансової оренди — цілком і повністю в компетенції підприємства, тобто ви можете застосовувати будь-який з методів, дозволених п. 26 НП(С)БО 7. Головне — не забудьте обраний метод амортизації зафіксувати в наказі про облікову політику.
Залежно від напряму використання отриманого у фінлізинг об’єкта основних засобів суму нарахованої амортизації відображають на рахунках обліку витрат, виробництва або капітальних інвестицій (Дт 15, 23, 91, 92, 93, 94 — Кт 131).
І ще один момент! За наявності ознак зменшення корисності об’єктів фінансової оренди щодо них застосовують процедуру зменшення (відновлення) корисності, передбачену пп. 31 і 32 НП(С)БО 7 (п. 6 НП(С)БО 14). Нагадаємо, що бухоблік витрат (доходів) від зменшення (відновлення) корисності об’єктів основних засобів ведуть за правилами НП(С)БО 28. Детальніше про це див. спецвипуск «Податки & бухоблік», 2020, № 85, с. 56.
Ремонт (поліпшення) об’єкта фінлізингу
Порядок обліку «поліпшувальних» витрат лізингоодержувача регламентує п. 6 НП(С)БО 14. Ним передбачено, що витрати орендаря на поліпшення об’єкта фінлізингу (модернізація, модифікація, добудова, дообладнання, реконструкція тощо), що призводять до збільшення майбутніх економічних вигід, первісно очікуваних від його використання, відображають як капітальні інвестиції. Їх включають до вартості об’єкта фінансової оренди.
Інакше кажучи,
витрати на проведення поліпшень об’єкта фінлізингу в періоді їх здійснення групують за дебетом відповідних субрахунків рахунка 15
Після закінчення робіт з поліпшення такого об’єкта суму витрат відносять на збільшення його первісної вартості, що відображається за дебетом відповідного субрахунку рахунка 10.
Крім того, суму проведених поліпшень показують за кредитом позабалансового рахунка 09 (у межах дебетового залишку за цим рахунком).
Що стосується правил бухобліку витрат на ремонт, техогляд і технічне обслуговування об’єктів фінлізингу, то тут НП(С)БО 14 відмовчується. Проте ви вже знаєте, що «поліпшувальні» витрати на отримане у фінансову оренду майно законодавець рекомендував обліковувати в тому ж порядку, що й витрати на поліпшення власних основних засобів. Тому, на наш погляд, той самий принцип поширюється і на ремонти, що не призводять до збільшення майбутніх економічних вигод. Тобто треба керуватися загальними правилами, передбаченими для відображення ремонтів власних основних засобів.
Нагадаємо: у бухобліку витрати на підтримання об’єкта основних засобів у робочому стані (проведення техогляду, обслуговування, ремонту тощо) та одержання первісно визначеної суми майбутніх економічних вигід від його використання включають до складу витрат звітного періоду (п. 15 НП(С)БО 7). Тобто залежно від напряму використання отриманого в лізинг об’єкта суми ремонтних витрат списують у дебет рахунків 15, 23, 91, 92, 93, 94.
Ну що ж, з теорією завершили. Саме час перейти до прикладів!
Приклад 5.3. Підприємство отримало у фінансовий лізинг автомобіль, що використовується для адміністративних потреб, строком на 2 роки. Сплату лізингових платежів лізингоодержувач здійснює щокварталу не пізніше останнього дня кожного кварталу.
Орендну ставку відсотка встановлено в договорі на рівні 12 % на рік (тобто 3 % на квартал).
Загальна сума мінімальних орендних платежів за 2 роки становить 1367581,36 грн (170947,67 грн/кв. х 8 кв.).
Після закінчення строку договору фінансового лізингу підприємство-лізингоодержувач отримує право власності на об’єкт лізингу.
Лізингоодержувачем установлено строк корисного використання автомобіля 5 років. Ліквідаційну вартість об’єкта лізингу визнано такою, що дорівнює нулю. Амортизацію нараховують прямолінійним методом.
Для розрахунку теперішньої вартості мінімального орендного платежу скористаємося вже добре вам відомою формулою*:
* Нагадаємо: цю формулу застосовують у разі, коли сплата орендних платежів здійснюється наприкінці звітного періоду.

ТВМОПК = 170947,67 х (1 - 1 : (1 + 0,03)8) : 0,03 = 1200000 (грн).
За цією вартістю (за мінусом ПДВ) орендар оприбутковує об’єкт фінлізингу в себе на балансі.
Фінансові витрати лізингоодержувача становлять:
1367581,36 - 1200000 = 167581,36 (грн).
Тепер треба розподілити суму фінансових витрат між періодами. У нашому випадку щоквартальні платежі лізингоодержувача на користь лізингодавця після розподілу виглядатимуть так (див. табл. 5.5):
Таблиця 5.5. Розподіл щоквартального лізингового платежу
| Період | Ануїтет (мінімальна сума орендних платежів, що сплачується щокварталу) | Лізингові (орендні) платежі: | Залишок заборгованості орендаря на кінець періоду (гр. 5 попереднього рядка - гр. 4) | |
| у частині відсотків (фінансові витрати) (гр. 5 попереднього рядка х 0,03) | у частині відшкодування вартості об’єкта лізингу (гр. 2 - гр. 3) | |||
| 1 | 2 | 3 | 4 | 5 |
| 1200000 | ||||
| 1-й квартал | 170947,67 | 36000 | 134947,67 | 1065052,33 |
| 2-й квартал | 170947,67 | 31951,57 | 138996,10 | 926056,23 |
| 3-й квартал | 170947,67 | 27781,69 | 143165,98 | 782890,25 |
| 4-й квартал | 170947,67 | 23486,71 | 147460,96 | 635429,29 |
| 5-й квартал | 170947,67 | 19062,88 | 151884,79 | 483544,50 |
| 6-й квартал | 170947,67 | 14506,33 | 156441,34 | 327103,16 |
| 7-й квартал | 170947,67 | 9813,09 | 161134,58 | 165968,58 |
| 8-й квартал | 170947,67 | 4979,09* | 165968,58 | 0 |
| Усього | 1367581,36 | 167581,36 | 1200000 | — |
| * В останньому місяці фінлізингу суму фінансових витрат визначаємо з урахуванням залишку заборгованості за об’єктом оренди: 170947,67 - 165968,58 = 4979,09 (грн). | ||||
Яким чином у бухгалтерському обліку лізингоодержувача відображають операції з фінансової оренди автомобіля, ви може побачити в табл. 5.6.
Таблиця 5.6. Облік отримання об’єкта фінлізингу
| № з/п | Зміст господарської операції | Кореспонденція рахунків | Сума, грн | |
| Дт | Кт | |||
| 1 | Отримано автомобіль від лізингодавця | 152 | 531 | 1000000 |
| 2 | Відображено податковий кредит з ПДВ (за наявності зареєстрованої в ЄРПН податкової накладної) | 644/1 | 531 | 200000 |
| 641/ПДВ | 644/1 | 200000 | ||
| 3 | Автомобіль уведено в експлуатацію | 105 | 152 | 1000000 |
| 4 | Частину довгострокової заборгованості (що підлягає погашенню протягом 12 місяців з дати балансу) переведено до складу поточної заборгованості | 531 | 611 | 564570,71* |
| * Суму розраховано за даними гр. 4 табл. 5.5 (за 4 квартали): 134947,67 + 138996,10 + 143165,98 + 147460,96 = 564570,71 (грн). | ||||
| 5 | Нараховано амортизацію вартості автомобіля (щомісячно) | 92 | 131 | 16666,67* |
| 09 | — | 16666,67 | ||
| 791 | 92 | 16666,67 | ||
| * 1000000 грн : 5 років : 12 міс. = 16666,67 грн. | ||||
| 6 | Нараховано та сплачено лізинговий платіж за перший квартал дії договору лізингу (проводки відображають щокварталу протягом строку дії договору фінлізингу): | |||
| — нараховано лізинговий платіж у частині відсотків за користування майном за договором фінансового лізингу (фінансові витрати лізингоодержувача) | 952 | 684 | 36000* | |
| 792 | 952 | 36000 | ||
| — сплачено лізинговий платіж у частині відшкодування вартості об’єкта лізингу (транспортного засобу) | 611 | 311 | 134947,67** | |
| — сплачено лізинговий платіж у частині відсотків за користування майном за договором фінансового лізингу | 684 | 311 | 36000 | |
| * Див. гр. 3 табл. 5.5. ** Див. гр. 4 табл. 5.5. | ||||
Приклад 5.4. Скористаємося умовами прикладу 5.3 і припустимо, що сторонами підписано додаткову угоду до договору, відповідно до якого після закінчення 1,5 року лізингоодержувач повертає автомобіль лізингодавцю без набуття права власності на нього. Передача здійснюється за ціною, що дорівнює сумі лізингових платежів у частині компенсації вартості об’єкта лізингу, не сплачених на момент повернення (див. гр. 5 табл. 5.5), — 327103,16 грн (у тому числі ПДВ 20 % — 54517,19 грн).
Балансова вартість автомобіля на початок місяця, в якому відбулося його повернення лізингодавцю, дорівнює 716666,61 грн, а на кінець цього місяця — 699999,94 грн.
Повернення автомобіля лізингодавцю в обліку лізингоодержувача показують таким чином (див. табл. 5.7):
Таблиця 5.7. Облік повернення об’єкта фінлізингу
| № з/п | Зміст господарської операції | Кореспонденція рахунків | Сума, грн | |
| Дт | Кт | |||
| 1 | Списано суму нарахованої амортизації автомобіля при прийнятті рішення про перекваліфікацію його в необоротний актив, утримуваний для продажу | 131 | 105 | 300000,06* |
| * Сума накопиченої амортизації становить: 16666,67 грн/міс. (див. проводку 5 табл. 5.6) х 18 міс. = 300000,06 грн. Зауважимо: якби строк оренди від початку становив 1,5 року і не передбачав передачі права власності на об’єкт фінлізингу лізингоодержувачу, то в бухгалтерському обліку лізингоодержувача строк корисного використання автомобіля слід було б установити 1,5 року (п. 7 НП(С)БО 14). Водночас, якщо лізингоодержувач є високодохідником або малодохідником-добровольцем, у податковому обліку він нараховував би амортизацію виходячи з мінімального строку корисного використання, встановленого п.п. 138.3.3 або п. 431 підрозд. 4 розд. ХХ ПКУ. | ||||
| 2 | Переведено автомобіль до складу необоротних активів, утримуваних для продажу | 286 | 105 | 699999,94 |
| 3 | Повернено автомобіль орендодавцю | 377 | 712 | 327103,16 |
| 4 | Нараховано податкові зобов’язання з ПДВ при передачі об’єкта основних засобів: | |||
| — виходячи з договірної вартості | 712 | 641/ПДВ | 54517,19 | |
| — виходячи з балансової вартості на початок місяця, в якому відбулася передача об’єкта (716666,61 грн х 20 % : 100 % - 54517,19 грн)* | 949 | 641/ПДВ | 88816,13 | |
| * Згідно з п. 188.1 ПКУ база обкладення ПДВ не може бути менше балансової вартості об’єкта основних засобів за даними бухобліку, що склалася на початок звітного періоду, в якому цей об’єкт було реалізовано. | ||||
| 5 | Списано балансову вартість поверненого об’єкта основних засобів | 943 | 286 | 699999,94 |
| 6 | Відображено залік заборгованостей між лізингодавцем і лізингоодержувачем | 611 | 377 | 327103,16 |
| 7 | Відображено у фінансових результатах: | |||
| — доходи від реалізації | 712 | 791 | 272585,97 | |
| — балансову вартість автомобіля | 791 | 943 | 699999,94 | |
| — суму донарахованого ПДВ | 791 | 949 | 88816,13 | |
висновки
- Передачу власних або спеціально придбаних основних засобів у фінансову оренду в бухобліку прирівнюють до продажу необоротних активів і відображають з урахуванням вимог НП(С)БО 27.
- Лізингодавці — виробники об’єктів фінлізингу відображають їх передачу як продаж готової продукції.
- Фінансові доходи і витрати мають бути розподілені лізингодавцем та лізингоодержувачем відповідно між звітними періодами протягом строку фінлізингу із застосуванням орендної ставки відсотка.
- Отриманий об’єкт фінлізингу лізингоодержувач зараховує до складу активів і одночасно визнає зобов’язання за найменшою на початок строку оренди оцінкою: справедливою вартістю активу або теперішньою вартістю мінімальних орендних платежів.
- Лізингоодержувач нараховує в себе амортизацію вартості об’єкта фінлізингу протягом періоду очікуваного використання такого об’єкта.
