2.1. Дисконтирование: общие вопросы
Прежде всего давайте вспомним, что такое дисконтирование. Это метод, который позволяет определить стоимость денег с учетом фактора времени. Ведь всем известно, что стоимость одной и той же суммы денежных средств сейчас и, например, через 3 года разная. Покупательная способность денег с течением времени снижается. И если нам известна сумма средств, которую планируется получить или передать в будущем, то с помощью дисконтирования можно определить ее сегодняшнюю (настоящую) стоимость.
Кто дисконтирует
Абсолютно все предприятия, которые составляют финансовую отчетность по П(С)БУ, обязаны дисконтировать долгосрочные дебиторские и кредиторские задолженности. Никакой альтернативы в отношении оценки долгосрочных долгов ни П(С)БУ 10, ни П(С)БУ 11 не предусматривают. Выбора у таких предприятий нет. И здесь не играют роли ни размеры предприятия (микро-, малое, среднее), ни система налогообложения (общая или упрощенная с уплатой единого налога).
Нормы П(С)БУ по дисконтированию долгосрочных задолженностей не касаются только:
— предприятий, ведущих учет по МСФО. Для них международные стандарты устанавливают свои правила дисконтирования;
— физлиц-предпринимателей, самозанятых лиц, которые априори не ведут бухучет и не должны применять П(С)БУ.
Что дисконтируем
Согласно п. 9 П(С)БУ 11 и п. 12 П(С)БУ 10 по настоящей, т. е. дисконтированной стоимости в балансе следует отражать только долгосрочные задолженности. Таким образом,
текущие дебиторская задолженность и обязательства дисконтированию не подлежат
Напомним: долгосрочной считается дебиторская задолженность, которая не возникает в ходе нормального операционного цикла и будет погашена после 12 месяцев с даты баланса (п. 4 П(С)БУ 10).
Под долгосрочными понимают обязательства, которые не являются текущими. В свою очередь, текущие обязательства — это обязательства, которые будут погашены в течение операционного цикла предприятия или должны быть погашены в течение 12 месяцев с даты баланса.
Обратите внимание: ни П(С)БУ 11, ни П(С)БУ 10 не делают исключений в отношении видов долгосрочной задолженности, подлежащих дисконтированию. Но действительно ли абсолютно любую долгосрочную задолженность нужно дисконтировать?
По мнению налоговиков*, дисконтировать следует финансовые инструменты, которые удерживаются субъектами хозяйствования до погашения и контрактные условия которых предусматривают поступление или погашение средств, а именно:
* См. по ссылке: kyiv.tax.gov.ua/media-ark/news-ark/399591.html.
— долгосрочную дебиторскую задолженность, выданные займы, полученные векселя, приобретенные облигации, депозиты в банках;
— долгосрочную кредиторскую задолженность, полученные займы, полученные кредиты, выданные векселя, эмитированные облигации.
Давайте поговорим о видах задолженностей подробнее.
Займы и кредиты. Начнем с процентной задолженности. В этом случае все зависит от договорной ставки процентов. Так, если договорная ставка процента соответствует рыночной, то настоящая стоимость задолженности будет равна номинальной. Дисконт за счет начисляемых рыночных процентов в этом случае равен нулю. То есть долгосрочные процентные обязательства и долгосрочная процентная дебиторская задолженность, по которым предусмотрены рыночные договорные проценты, признаются по номинальной стоимости (равной настоящей).
Если же проценты по кредитному договору не соответствуют рыночным, от дисконтирования не уйти**. То же касается и беспроцентных долгосрочных займов (возвратной финансовой помощи). Предприятие, получая такой заем, обязано продисконтировать его сумму до настоящей стоимости***.
** Но не забудьте при этом в формуле дисконтирования (см. с. 17) учесть сумму договорных процентов, подлежащих выплате или получению.
*** О том, какую ставку при этом использовать, см. на с. 18.
Задолженность за товары, работы, услуги. Здесь помните, что:
1) дисконтированию подлежат только финансовые (денежные) долгосрочные обязательства и дебиторская задолженность, по которым предусматриваются будущие платежи. То есть та задолженность, которая должна (!) погашаться деньгами. Ведь настоящая стоимость — это дисконтированная стоимость будущих платежей деньгами.
Если предприятие перечислило аванс, а в счет него должны поступить товары (работы, услуги), то такая товарная задолженность не дисконтируется
Причина — будущих платежей не будет. Соответственно ни продавец свои обязательства, ни покупатель дебиторскую задолженность по товарам (работам, услугам) не дисконтируют;
2) чтобы задолженность дисконтировалась, она должна быть долгосрочной, т. е. договором изначально срок оплаты должен предусматриваться свыше года, и в течение следующих 12 месяцев после даты баланса такая задолженность согласно договору погашаться не будет.
Например, если вы продали товар покупателю с отсрочкой платежа на 2 года и погашение такого долга не планируется в течение 12 месяцев с даты баланса, то такую задолженность дисконтируем. При этом если по такому договору задолженность погашается не одноразово в конце срока, а частями по графику погашения долга, то дисконтируем только его долгосрочную часть.
Задолженность с физлицами. Как мы уже сказали (см. с. 12), налоговики считают, что дисконтирование долгосрочных обязательств / дебиторской задолженности касается финансовых инструментов (финансовых активов и финансовых обязательств). В свою очередь, П(С)БУ 13 определяет финансовые активы (финансовые обязательства) как контракты исключительно между предприятиями. Из чего напрашивается вывод, что задолженности предприятия перед физлицом (и наоборот) не должны дисконтироваться.
Однако считаем, что делать упор на П(С)БУ 13 некорректно. Основополагающими здесь являются П(С)БУ 10 и П(С)БУ 11, которые требуют оценивать по настоящей стоимости абсолютно все без оговорок долгосрочные денежные обязательства и дебиторскую задолженность. Поэтому, на наш взгляд,
если денежная задолженность по договорам с физлицами на дату баланса является долгосрочной, то дисконтировать нужно и ее
Гарантийные платежи. По своей сути выданный гарантийный платеж считается дебиторской задолженностью у арендатора и кредиторской у арендодателя. И если на дату баланса задолженность по гарантийному платежу не подлежит погашению в течение 12 месяцев, то она считается долгосрочной. Правда, дисконтировать или нет такую долгосрочную задолженность по выданному/полученному гарантийному платежу, зависит от условий, регулирующих судьбу предоставленного гарантийного платежа. Они должны быть четко прописаны в договоре аренды. Так, если в нем указано, что гарантийный платеж:
— зачисляется в счет уплаты арендных платежей / нанесенного ущерба, то возникшую долгосрочную задолженность по гарантийному платежу дисконтировать сторонам не нужно (это не денежная задолженность);
— возвращается арендатору по окончании срока действия договора аренды, то стороны должны его дисконтировать (при условии, что такой возврат планируется по истечении 12 месяцев с даты баланса). Ведь у арендодателя это денежные обязательства, у арендатора — денежная дебиторская задолженность.
Будьте внимательны! Конструкция «или/или» в договоре аренды неприемлема, и, ввиду возможной оценки такой задолженности как денежной, потянет за собой обязанность дисконтирования долгосрочной задолженности по такому «неопределенному» гарантийному обязательству.
Вексельные задолженности. Согласно ст. 4 Закона Украины «Об обращении векселей в Украине» от 05.04.2001 г. № 2374-III в случае выдачи (передачи) векселя в соответствии с договором прекращаются денежные обязательства по платежу по этому договору и возникают денежные обязательства относительно платежа по векселю. Дисконтировать или нет задолженность по векселям, зависит от вида векселя.
Вексель со сроком погашения. В таком векселе дата погашения четко прописана. Соответственно, ориентируясь на эту дату, определяем, долгосрочная задолженность или текущая. И если на дату баланса задолженность по векселю является долгосрочной (погашение в ближайшие 12 месяцев не предполагается), то такую задолженность следует дисконтировать, т. е. отражать на дату баланса по настоящей (дисконтированной) стоимости. Причем делать это придется до тех пор, пока задолженность по векселю не станет текущей (т. е. с даты баланса до срока погашения векселя останется менее 12 месяцев).
Вексель по предъявлению. В таком векселе не указывают срок платежа, он считается подлежащим оплате по предъявлению. Задолженность по такому векселю всегда является текущей (поскольку его предъявление ожидается в любой момент). А значит, текущее (краткосрочное) обязательство векселя по предъявлению не дисконтируем. Причем это касается даже тех векселей, которые просрочены (не предъявлены в течение одного года с даты их составления).
Валютные задолженности. Если задолженность, выраженная в иностранной валюте, является денежной и долгосрочной, то она также подлежит дисконтированию. Последствия изменения валютных курсов и изменения стоимости денежных средств в связи с проведением дисконтирования учитываются отдельно (на разных субсчетах). При этом расчет дисконтирования валютной задолженности следует осуществлять в валюте платежа. А затем полученные показатели нужно пересчитать по курсу НБУ на соответствующую дату.
Пролонгированные задолженности. Если задолженность изначально была краткосрочной (ожидалась к погашению в течение 12 месяцев), то пролонгация такой задолженности, скажем, на 1 год, не придает ей статуса долгосрочной. Долг в учете сторон остается текущим (срок его погашения не превышает 12 месяцев). Соответственно он дисконтированию не подлежит. Другое дело — пролонгация долгосрочных задолженностей (остатков задолженностей) на срок более 1 года.
А вот пролонгация долгосрочных задолженностей (остатков), скажем, только на 1 год, вряд ли потребует дисконтирования. Почему? Дело в том, что обычно пролонгация осуществляется в конце срока погашения задолженности, предусмотренного договором. В связи с этим на ближайшую дату баланса пролонгированная задолженность может оказаться уже краткосрочной, так как будет подлежать погашению в течение 12 месяцев с даты баланса. В таком случае пролонгированную задолженность не дисконтируем.
Но учтите: в случае неоднократной пролонгации задолженности, в связи с чем срок ее погашения превысил 12 месяцев, налоговики наверняка попытаются признать такую задолженность долгосрочной. Причем суды вполне могут их поддержать (см. решение Днепропетровского окружного админсуда от 28.11.2019 г. по делу № 160/6107/19)*.
* См. по ссылке: reyestr.court.gov.ua/Review/86151050.
Просроченные (сомнительные, безнадежные) задолженности. Для признания задолженности долгосрочной в целях дисконтирования ориентиром является договор, а не то, сколько дебиторская или кредиторская задолженность числится в балансе.
Не подлежат дисконтированию просроченные обязательства и сомнительные дебиторские задолженности. Даже если по договору эти задолженности долгосрочные, но сроки погашения, установленные в договоре (в том числе продленные или отложенные), уже прошли.
Дисконтировать такую просроченную задолженность не нужно
Следует помнить: еще до даты погашения, указанной в договоре, задолженность теряет свой долгосрочный статус (п. 12 П(С)БУ 10, п. 10 П(С)БУ 11). Если до даты погашения долгосрочной задолженности (согласно срокам, установленным договором) остается меньше 12 месяцев, она должна быть переведена в состав текущей (краткосрочной). Соответственно, став текущей, такая задолженность в балансе отражается уже без дисконтирования:
— обязательства (кредиторская задолженность) — в сумме погашения. То есть в недисконтированной сумме денег (или их эквивалентов), которая, как ожидается, будет уплачена для погашения обязательства в процессе обычной деятельности предприятия (п. 4 П(С)БУ 11);
— дебиторская задолженность — в номинальной сумме (сумме платежа) за вычетом резерва сомнительных долгов.
Таким образом, дисконтировать краткосрочные обязательства и краткосрочную дебиторскую задолженность нормы П(С)БУ 10 и П(С)БУ 11 не требуют. Причем даже если они просрочены на срок свыше года.
Заметим: на тот факт, что просроченная задолженность не может рассматриваться как долгосрочная, поскольку период ее погашения уже наступил, обращал внимание и Верховный Суд (см. постановление от 04.12.2019 г. по делу № 826/16321/18)**.
** См. по ссылке: reyestr.court.gov.ua/Review/86333063.
В отношении просроченных задолженностей будут работать только специальные правила их учета. Напомним: под денежную дебиторскую задолженность создают резерв сомнительных долгов (см. с. 23). Что касается безнадежной задолженности (которая не подлежит погашению), то ее следует списать.
Подытожим. Как вы уже поняли, главный критерий для дисконтирования — долгосрочность задолженности. Именно из этого следует основная рекомендация для тех, кто не хочет связываться с рассматриваемой процедурой — для недисконтирования необходимо, чтобы задолженность была текущей. Для этого в договоре можно:
— вообще не указывать срок погашения задолженности;
— установить его моментом предъявления требования;
— указать срок погашения менее года.
Но при этом будьте внимательны с пролонгацией такой задолженности, чтобы не давать налоговикам повода усомниться в ее краткосрочности.
2.2. Как дисконтируем
Методика дисконтирования
В П(С)БУ отсутствует методика дисконтирования. То есть нет четкого алгоритма расчета настоящей стоимости долгосрочных задолженностей. В части дисконтирования (определения настоящей стоимости) долгосрочных обязательств и дебиторской задолженности даны только общие определения-формулировки (см. табл. 2.1).
Таблица 2.1. Определение настоящей стоимости в П(С)БУ 10 и П(С)БУ 11
| Вид задолженности | П(С)БУ | Определение настоящей стоимости |
| Долгосрочные обязательства | Настоящая стоимость — дисконтированная сумма будущих платежей (за вычетом суммы ожидаемого возмещения), которая, как ожидается, будет необходима для погашения обязательства в процессе обычной деятельности предприятия | |
| Долгосрочная дебиторская задолженность | Определения настоящей стоимости нет. Сказано только, что «определение настоящей стоимости зависит от вида задолженности и условий ее погашения» |
Не урегулированы также вопросы, как определять ставку дисконтирования (см. с. 18) и какое количество периодов брать для расчета (см. с. 18). А ведь периодом может быть год, квартал, месяц и даже день.
Не собирают четкой картинки механизма дисконтирования и другие национальные стандарты бухучета.
Правда, в п. 3 П(С)БУ 11 и п. 3 П(С)БУ 10 сказано, что нормы этих стандартов (в том числе в части дисконтирования обязательств) применяются с учетом особенностей оценки и раскрытия информации относительно обязательств (дебиторской задолженности), установленных другими П(С)БУ. Однако такая отсылка в большинстве своем касается «особых» задолженностей.
Например, оценка долгосрочных обязательств заемщика и дебиторской задолженности кредитора по договорам финансового лизинга проводится с учетом своего стандарта — П(С)БУ 14. В частности, расчет настоящей (дисконтированной) стоимости минимальных арендных платежей осуществляется по правилам, прописанным в пп. 5, 10 и 11 П(С)БУ 14 и в приложении 1 к нему. И распространять эти правила на все остальные долгосрочные задолженности неправильно.
В связи с нормативным пробелом возникли два подхода в методике дисконтирования долгосрочных обязательств и долгосрочной дебиторской задолженности.
Подход 1 — с амортизацией дисконта. Логика такого подхода дисконтирования ориентирована на нормы П(С)БУ 12, П(С)БУ 13 и МСФО. Суть подхода в следующем:
1) при признании долгосрочные обязательства / долгосрочную дебиторскую задолженности нужно оценить по настоящей (дисконтированной) стоимости. Исходя из того, что настоящая стоимость всегда меньше будущей, в результате дисконтирования возникает:
— доход (733 «Прочий доход от финансовых операций») — если дисконтируют сумму долгосрочного обязательства;
— расходы (952 «Прочие финансовые расходы») — если дисконтируют сумму долгосрочной дебиторской задолженности;
2) в последующих периодах сумму дисконта (разницу между номинальной и настоящей стоимостью) амортизируют в течение всего срока существования задолженности (от даты получения до даты погашения) по методу эффективной ставки процента. В результате доход по обязательствам будет компенсироваться «процентными» расходами, а расходы по дебиторской задолженности — «процентным» доходом.
Заметьте: если на дату баланса до срока погашения долгосрочной задолженности остается менее 12 месяцев, ее переводят на субсчета 377 «Расчеты с прочими дебиторами» (для дебиторки) и 611 «Текущая задолженность по долгосрочным обязательствам» (для кредиторки). Однако несмотря на переклассификацию задолженности в текущую,
при таком подходе дисконт амортизируют в течение всего срока до установленной даты погашения задолженности
Такой подход дисконтирования беспроцентных займов в свое время навязывали налоговики. В своих выводах они оперировали терминами «амортизированная себестоимость», «эффективная ставка процента», «метод эффективной ставки процента» из П(С)БУ 12.
Не спорим, кое-что из бухгалтерской нормативки в поддержку такого подхода «накопать» можно. В частности, согласно п. 29 П(С)БУ 13 финансовые инструменты (финансовые активы и финансовые обязательства*) первоначально оцениваются по фактической себестоимости, которая равна их справедливой стоимости.
* Напомним: к ним относятся денежные дебиторские и кредиторские задолженности.
При этом порядок определения справедливой стоимости можно почерпнуть из приложения к П(С)БУ 19. Так, для дебиторской задолженности справедливая стоимость равна настоящей (дисконтированной) сумме, подлежащей получению, которая определена по соответствующей текущей процентной ставке за вычетом резерва сомнительных долгов и расходов на ее получение. Для кредиторской задолженности справедливой считается настоящая (дисконтированная) сумма, подлежащая уплате и определенная по соответствующим текущим процентным ставкам.
На каждую последующую после признания дату баланса финансовые обязательства оцениваются по амортизированной себестоимости (п. 31 П(С)БУ 13). Но при этом определения амортизированной себестоимости для финансовых обязательств в бухгалтерских нормативах вы не найдете! Оно приведено в П(С)БУ 12 только для финансовых инвестиций (т. е. только для активов).
Что же касается финансовых активов, то для них оценка по амортизированной себестоимости нормами П(С)БУ прямо не предусмотрена.
Ситуация осложняется тем, что в «профильных» П(С)БУ 10 и П(С)БУ 11 вообще нет ни слова об амортизируемой себестоимости. Эти стандарты, как мы уже упоминали, требуют учитывать долгосрочные задолженности в балансе по их настоящей стоимости. И из этого следует второй — формальный подход к дисконтированию.
Подход 2 — формальный. Если буквально читать требования П(С)БУ 11 и П(С)БУ 10, то можно предположить, что:
1) при признании задолженность отражаем по номиналу;
2) на дату баланса оцениваем долгосрочные обязательства и дебиторскую задолженность по настоящей стоимости (с применением ставки дисконтирования** и исходя из оставшегося срока до погашения);
** О выборе ставки дисконтирования см. на с. 18.
3) разницу между оценками настоящей стоимости на текущую и предыдущую даты баланса списываем на расходы/доходы.
При формальном подходе долгосрочную задолженность дисконтируют до перехода задолженности в краткосрочную
В таком случае долгосрочные обязательства и дебиторская задолженность, которые на дату баланса станут текущими (будут погашены в течение 12 месяцев, с даты баланса), уже не будут дисконтироваться. Ставшие краткосрочными обязательства нужно будет показать на дату баланса по номинальной стоимости, т. е. в сумме погашения (без дисконтирования) согласно п. 11 П(С)БУ 11. В свою очередь, денежную дебиторку, ставшую краткосрочной, следует отражать по чистой реализационной стоимости, которая определяется как номинальная стоимость за вычетом резерва сомнительных долгов* согласно п. 7 П(С)БУ 10.
* О нем читайте в разделе 3 на с. 23.
Аналогично поступаем, если переводим только часть долгосрочной задолженности в состав текущей.
Например, возвратная беспроцентная финансовая помощь получена в 2020 году сроком на 2 года и будет погашаться частями: первая часть (50 %) в 2021 году и вторая часть (50 %) — в 2022 году. В таком случае на дату баланса (31.12.2020 г.):
— первую часть займа (50 %), погашение которого ожидается в 2021 году, отражаем как краткосрочные обязательства и учитываем по номинальной стоимости (п. 11 П(С)БУ 11);
— вторая часть займа (50 %), которая ожидается к погашению в 2022 году, остается в учете как долгосрочная, и только эту часть займа дисконтируем — отражаем по настоящей стоимости.
Независимо от того, приверженцами какого подхода дисконтирования являетесь вы, для определения настоящей (дисконтированной) стоимости будущих платежей вам в любом случае необходимо знать формулу дисконтирования.
Формула дисконтирования
Для определения настоящей (дисконтированной) стоимости будущих платежей используют следующую общепринятую формулу:
РV = FV : (1 + i)n,
где PV — настоящая (дисконтированная) стоимость;
FV — будущая выплата (номинал долга). То есть по сути это те платежи, которые будут уплачиваться/получаться при погашении задолженности (с учетом суммы договорных процентов, если они установлены);
і — ставка дисконтирования;
n — количество периодов до даты погашения.
Правда, пользоваться этой формулой для расчета настоящей стоимости долгосрочных обязательств или долгосрочной дебиторской задолженности следует, если погашение долгосрочной задолженности ожидается разовым платежом одной суммой, через n периодов.
Если по договору задолженность погашается не одноразово в конце срока, а частями (платежами) согласно графику погашения долга, то в таком случае настоящую стоимость задолженности рассчитывают отдельно для каждого платежа с использованием той же общепринятой формулы:
РVПлатеж = FV : (1 + i)n,
где PVПлатеж — настоящая стоимость каждого платежа;
FV — сумма каждого конкретного платежа (с учетом суммы договорных процентов, если они установлены);
і — ставка дисконтирования;
n — количество периодов до даты погашения платежа.
Учтите:
настоящая стоимость каждого платежа рассчитывается исходя из своего периода (срока) погашения
После чего следует определить общую настоящую стоимость (РV) обязательства / дебиторской задолженности, просуммировав настоящие стоимости каждого платежа:
РV = (РVПлатеж1 + РVПлатеж2 + … + РVПлатежn).
Например, предприятие в июне 2019 года получило долгосрочный заем в сумме 110000 грн. По договору погашение долгосрочного займа производится частями:
1) 20.12.2020 г. — 50000 грн (Платеж2020);
2) 20.12.2021 г. — 50000 грн (Платеж2021);
3) 20.12.2022 г. — 10000 грн (Платеж2022).
Задолженность по Платежу2020 не дисконтировалась, так как на дату баланса (на 31.12.2019 г.) она считалась краткосрочной (планировалась к погашению в течение 12 месяцев с даты баланса) и согласно п. 11 П(С)БУ 11 должна отражаться в сумме погашения (50000 грн). Задолженность по Платежу2021 и Платежу2022 следовало продисконтировать каждую отдельно и просуммировать общий результат.
Зная номинальную сумму платежа, которая должна быть получена/передана в будущем, можно определить ее настоящую стоимость. Для этого следует выбрать ставку дисконтирования (i), определить период дисконтирования и количество таких периодов (n), оставшихся до срока погашения.
Ставка дисконтирования
Ни П(С)БУ 10, ни П(С)БУ 11 не содержат ориентиров в отношении определения ставки дисконтирования для оценки долгосрочных задолженностей. Единственное, там указано, что определение настоящей стоимости зависит от условий и вида задолженности. Некоторые намеки на порядок выбора ставки дисконтирования можно найти в других бухгалтерских стандартах.
Например, согласно п. 28 П(С)БУ 26 для определения текущей стоимости обязательства по программам выплат по окончании трудовой деятельности ставка дисконта исчисляется с применением рыночной ставки дохода по высоколиквидным корпоративным облигациям на дату баланса. В случае отсутствия активного рынка корпоративных облигаций используется процентная ставка дохода по долгосрочным государственным облигациям на дату баланса. При этом выбираются облигации, валюта и срок погашения которых соответствуют валюте и прогнозируемому сроку погашения обязательства по каждой программе.
При определении настоящей стоимости будущих чистых денежных поступлений для оценки уменьшения/восстановления полезности необоротных активов п. 14 П(С)БУ 28 требует, чтобы ставка дисконта базировалась на рыночной ставке процента (до вычета налога), который используется в операциях с аналогичными активами.
То есть единой ставки дисконтирования «для всех» и на все случаи нет.
Ставка дисконтирования зависит от конкретных обстоятельств возникновения задолженности и требует профессионального суждения
Несмотря на предоставленную предприятиям свободу выбора ставки, налоговики настоятельно рекомендуют ориентироваться на среднегодовую учетную ставку рефинансирования НБУ (см. письмо ГФСУ от 18.06.2018 г. № 18311/7/99-99-14-03-03-17, консультацию по ссылке: officevp.tax.gov.ua/media-ark/news-ark/397032.html // «Налоги и бухгалтерский учет», 2019, № 92, с. 27).
Мы же считаем, что более логично ориентироваться на среднюю рыночную ставку процента на аналогичный инструмент (подобный по валюте, сроку, типу и другим признакам), т. е. наиболее близкую к условиям и виду задолженности. Так, для дисконтирования:
— долгосрочных обязательств целесообразно брать ставку процента, по которой предприятие может получить взаймы средства на аналогичный срок при аналогичных условиях;
— долгосрочной дебиторской задолженности брать ставку процента по депозитам на аналогичный срок и на аналогичных условиях.
При этом учтите! Для дисконтирования «разных» по условиям задолженностей (например, отличающихся по виду валюты, по сроку погашения) должны применяться и разные ставки. За основу, на наш взгляд, можно взять данные НБУ о среднерыночной ставке по кредитам/депозитам, которые приведены с разбивкой по видам валют, срокам погашения и даже регионам (см. по ссылке: bank.gov.ua/statistic/sector-financial/data-sector-financial#1ms), подкорректировав их под свои условия.
Количество периодов дисконтирования
В качестве периода для дисконтирования долгосрочных обязательств / дебиторской задолженности может быть выбран год, квартал, месяц или день. Все зависит от условий и вида задолженности, а также от отчетного периода предприятия.
Так, например, если заем получен на 3 года и будет возвращаться в конце третьего года, то в общем случае n = 3. Для тех, кто составляет промежуточную финансовую отчетность, 3 года превращаются в 12 периодов-кварталов (n = 12). К тому же зачастую займы берутся далеко не на даты баланса, а, скажем, в середине периода — 15.10.2019 г. со сроком возврата — 15.10.2021 г. Тогда в качестве периода дисконтирования выбирают дни.
Обратите внимание: ставки процентов обычно приводятся в расчете на год. В зависимости от того, какой период дисконтирования вы выбираете — квартал, месяц или день, годовую ставку дисконтирования приводите к квартальной, месячной или дневной.
При этом учтите: недостаточно просто разделить годовую ставку на 4, 12 или 365. Все дело в том, что дисконтирование осуществляется по сложной ставке процентов. Поэтому для определения процентной ставки для квартального, месячного или дневного периода следует применить специальную формулу, учитывающую начисление сложных процентов.
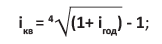
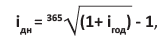
Зная годовую ставку (ігод), определить точный показатель ставки квартальной (ікв), месячной (ікв) и дневной (ікв) можно так:
![]()
![]()
![]()
где ігод — годовая ставка в %, деленная на 100.
Рассчитаем квартальную, месячную и дневную ставки дисконтирования, если годовая ставка (ігод) равна 20 %:
![]()
![]()
![]()
2.3. Оформление и бухучет
Документируем дисконтирование
Сперва о документах, регулирующих на предприятии механизм дисконтирования. Как мы уже сказали, механизм дисконтирования долгосрочных задолженностей в П(С)БУ фактически не урегулирован. Поэтому
методика определения настоящей стоимости долгосрочной задолженности должна быть зафиксирована в приказе об учетной политике
Также можно отдельно разработать на предприятии положение об учете долгосрочной дебиторской и кредиторской задолженностей (на которое в учетной политике дать ссылку). Подробнее об этом см. «Налоги и бухгалтерский учет», 2020, № 6, с. 5.
В учетной политике (или в отдельно разработанном положении) должны быть прописаны:
1) формула(ы), по которой будет определяться настоящая (дисконтированная) стоимость долгосрочной задолженности;
2) подходы к определению ставки дисконтирования. Например, следует указать, что предприятие использует рыночные средние ставки процентов по кредитам/депозитам на аналогичный срок и на аналогичных условиях, определенные по данным статистической информации, опубликованной на сайте НБУ. Либо, если хотите угодить налоговикам, — прописать, что применяете среднегодовую учетную ставку рефинансирования НБУ;
3) количество периодов дисконтирования.
Для самого же расчета дисконтирования подойдет бухгалтерская справка. В ней следует:
— описать задолженность, подлежащую дисконтированию;
— привести формулу дисконтирования;
— привести непосредственно сам расчет настоящей (дисконтированной) стоимости по формуле с расшифровкой периода (n) и используемой ставки дисконтирования — годовой (ігод), квартальной (ікв), месячной (імес) или дневной (ідн).
Бухучет дисконтирования
На каких счетах учитывают долгосрочные дебиторские и кредиторские задолженности, мы уже рассматривали в разделе 1 (см. с. 3). Здесь же поговорим о том, как учитывать дисконт, возникший в связи с расчетом настоящей (дисконтированной) стоимости задолженности, и его списание.
Из формулы дисконтирования (см. с. 17) можно понять, что настоящая (дисконтированная) стоимость задолженности всегда будет ниже ее номинальной (подлежащей погашению) стоимости. Разницу между этими оценками задолженностей (сумму «первичного» дисконта) показывают следующим образом:
— по долгосрочным обязательствам — в составе прочих доходов от финансовых операций (Кт 733) в корреспонденции с соответствующим субсчетом учета кредиторской задолженности;
— по долгосрочным дебиторским задолженностям — в составе прочих финансовых расходов (Дт 952) в корреспонденции с соответствующим субсчетом учета дебиторской задолженности.
В дальнейшем показанные у должника доходы будут постепенно списываться с отражением в составе прочих финансовых расходов (Дт 952). В свою очередь, кредитор будет отражать прочие финансовые доходы (Кт 733).
Исключение — операции с учредителями. Из определений понятий «доходы» и «расходы», приведенных в ст. 1 Закона № 996, следует, что в их составе не должен учитываться результат от операций с собственниками. Поэтому, на наш взгляд, возникновение и списание дисконта в таких случаях нужно отражать за счет изменений собственного капитала (субсчет 425).
Хотя есть вероятность, что фискалы с этим не согласятся, узко трактуя понятие «взносы в капитал» исключительно как прямые вклады собственника в капитал предприятия.
Учет последствий дисконтирования рассмотрим на примере. При этом для расчета используем подход 2 — формальный (см. с. 16).
Пример 2.1. Предприятие 20.02.2020 г. получило беспроцентный заем на 1,5 года (срок погашения — 20.08.2021 г.) от другого предприятия в сумме 100000 грн. На дату баланса 31.03.2010 г. ставка дисконтирования заемщиком и заимодателем принята на уровне 16 % годовых*. Заем возвращается одним платежом в конце срока. Предприятия отчитываются поквартально.
* Одна ставка взята для упрощения примера. На практике ставки дисконтирования у кредитора и должника, как правило, будут разными.
На 31.03.2020 г. (на дату баланса) задолженность является долгосрочной. Соответственно в балансе она должна быть отражена по настоящей стоимости.
Учитывая, что заем получен в середине периода, для правильного расчета его настоящей стоимости на дату баланса (31.03.2020 г.) используем:
— дневную ставку процента

или 0,0406713 %;
— количество периодов дисконтирования в днях (с даты баланса до срока погашения) — 507 дней (275 дней в 2020 году и 232 дня в 2021 году).
Определяем настоящую стоимость долга на дату баланса 31.03.2020 г.:
100000 грн : (1 + 0,000406713)507 = 81370,16 грн.
Разница между номиналом и настоящей стоимостью задолженности 18629,84 грн (100000 грн - - 81370,16 грн) является дисконтом, который:
— заемщик должен включить в финансовые доходы;
— заимодатель — в финансовые расходы (см. табл. 2.2).
На 30.06.2020 г. (на дату баланса) задолженность является долгосрочной. Соответственно в балансе она должна отражаться по настоящей стоимости.
Для расчета настоящей стоимости используем:
— дневную ставку процента:

— период дисконирования в днях с даты баланса до срока погашения — 416 дней (184 дня в 2020 году и 232 дня в 2021 году).
Определяем настоящую стоимость долга на дату баланса 31.06.2020 г.:
100000 грн : (1 + 0,000406713)416 = 84437,53 грн.
Далее сравниваем настоящую стоимость с балансовой стоимостью долга на 31.03.2020 г. Разница между оценками настоящих стоимостей по задолженности на текущую и предыдущую даты баланса 3067,37 грн (84437,53 грн - 81370,16 грн) является дисконтом, который:
— заемщик включает в финансовые расходы;
— заимодатель — в финансовые доходы.
На 30.09.2020 г. (на очередную дату баланса) задолженность является краткосрочной (планируется к погашению в течение следующих 12 месяцев — 20.08.2021 г.). Соответственно ее уже не дисконтируем, а отражаем в балансе по номинальной стоимости (100000 грн).
При этом разница между оценками задолженности на текущую и предыдущую даты баланса 15562,47 грн (100000,00 грн - 84437,53 грн) является дисконтом.
Указанный дисконт:
— заемщик должен показать в финансовых расходах;
— заимодатель — в финансовых доходах.
Таблица 2.2. Учет получения, дисконтирования и возврата долгосрочного займа
| № п/п | Содержание хозяйственной операции | Корреспонденция счетов | Сумма, грн | |
| Дт | Кт | |||
| У заемщика | ||||
| 1 | 20.02.2020 г. получен долгосрочный заем от заимодателя | 311 | 505 | 100000,00 |
| 2 | На 31.03.2020 г. признан доход на сумму дисконта по долгосрочной задолженности | 505 | 733 | 18629,84 |
| 3 | На 30.06.2020 г. разница по дисконтированию отнесена на расходы | 952 | 505 | 3067,37 |
| 4 | На 30.09.2020 г. долгосрочный заем переведен в состав краткосрочных обязательств | 505 | 611 | 100000,00 |
| 5 | Разница по дисконтированию отнесена на расходы | 952 | 505 | 15562,47 |
| 6 | 20.08.2021 г. возвращена сумма займа | 611 | 311 | 100000,00 |
| У заимодателя | ||||
| 1 | 20.02.2020 г. перечислены средства по договору займа (признана долгосрочная дебиторская задолженность) | 183 | 311 | 100000,00 |
| 2 | На 31.03.2020 г. признаны расходы на сумму дисконта по долгосрочной дебиторской задолженности | 952 | 183 | 18629,84 |
| 3 | На 30.06.2020 г. разница по дисконтированию отнесена в доходы | 183 | 733 | 3067,37 |
| 4 | На 30.09.2020 г. долгосрочная дебиторская задолженность переведена в состав текущей | 377 | 183 | 100000,00 |
| 5 | Разница по дисконтированию отнесена в доходы | 183 | 733 | 15562,47 |
| 6 | 20.08.2021 г. возвращен заем заемщиком | 311 | 377 | 100000,00 |
Заметим, что такой подход может не понравиться налоговикам, ведь должник в этой ситуации покажет расходы раньше, чем при подходе 1 (с амортизацией дисконта в течение всего срока погашения задолженности). Однако он полностью вписывается в требования П(С)БУ 10 и П(С)БУ 11 в отношении учета долгосрочных и текущих задолженностей.
И еще один интересный момент. Чтобы не запутаться в суммах задолженностей, рекомендуем по каждому долгосрочному дебитору/кредитору ввести отдельные субсчета для учета номинальной стоимости задолженности и суммы дисконта. Зачем это нужно? Дело в том, что настоящие (дисконтированные) стоимости одной и той же задолженности у дебитора и кредитора, как правило, совпадать не будут. Ведь даже если Минфин разработает четкую методику дисконтирования, при выборе ставки дисконтирования каждое конкретное предприятие действует по собственному усмотрению. Это, в свою очередь, означает, что провести сверку расчетов с долгосрочными дебиторами/кредиторами может оказаться непростой задачей. Чтобы избежать таких сложностей, и пригодится отдельный субсчет для учета дисконта.
Например, при получении долгосрочного займа номинальную (т. е. фактически полученную) сумму отражаете проводкой: Дт 311 — Кт 505/1 (или 55/1). А при начислении суммы дисконта показываете: Дт 505/2 (или 55/2) — Кт 733. При этом в финансовую отчетность попадет свернутая сумма по кредиту субсчета 505 (или счета 55), которая и будет равна настоящей (дисконтированной) стоимости задолженности. В дальнейшем списание суммы дисконта будете отражать записью: Дт 952 — Кт 505/2 (или 55/2). В свою очередь, номинальную сумму задолженности вы сможете увидеть в любой момент по кредиту субсчета 505/1 (или счета 55/1).
2.4. Дисконтирование и налоговый учет
Налог на прибыль
Будьте внимательны: доходы и расходы, возникающие в результате дисконтирования долгосрочных обязательств / дебиторской задолженности, непосредственно влияют на объект обложения налогом на прибыль — финрезультат. И здесь не имеет значения, является предприятие высокодоходником или малодоходником, ведь
корректировок финрезультата на сумму дисконтирования долгосрочной дебиторской и кредиторской задолженностей не предусмотрено
Так считают и налоговики (см. письма ГНСУ от 28.12.2019 г. № 2220/6/99-00-07-02-02-15/ІПК, от 10.12.2019 г. № 1814/6/99-00-07-02-02-15/ІПК и от 09.12.2019 г. № 1791/6/99-00-07-02-02-15/ІПК).
Единый налог
Если задолженность долгосрочная («договорной» срок ее погашения больше 12 месяцев), то единоналожникам ее тоже нужно учитывать по настоящей (дисконтированной) стоимости. Ведь никаких «поблажек» НП(С)БУ 25 в отношении дисконтирования не дает. Так что плательщики единого налога группы 3 применяют требования П(С)БУ 10 и П(С)БУ 11 на общих основаниях.
Правда, для единоналожного учета сумма дисконта никакой роли не играет. Ведь возникающий в бухучете дисконт ни у заемщика, ни у заимодателя совершенно не связан с поступлением средств в денежной форме на счет или в кассу единоналожника (п.п. 2 п. 292.1 НКУ). Нет здесь и дохода в материальной или нематериальной форме, определенной п. 292.3 НКУ. Таким образом, суммы отражаемого в бухучете дебитором или кредитором финансового дохода в виде дисконта проходят мимо их единоналожного учета.
При этом отметьте:
1) если единщик выдает, например, финпомощь на срок более 1 года, то на сумму единого налога «бухучетные» расходы от дисконта никак не влияют, поэтому вряд ли за недисконтирование ему грозит что-то серьезное;
2) если единщик получает заем, то с долгосрочной (выданной на срок больше 1 года) финпомощью лучше вообще не связываться. Ведь не возвращенная в течение 12 месяцев финпомощь попадает в единоналожный доход. Если же речь идет не о займе, а о какой-то другой задолженности (например, получение отсрочки в оплате товаров на срок более 1 года), то разница между номинальной и дисконтированной стоимостью все равно не является единоналожным доходом.
выводы
- Дисконтируем долгосрочные обязательства / дебиторскую задолженность, по которым ожидаются денежные платежи.
- Краткосрочные задолженности (до 1 года) не дисконтируем.
- Методика определения настоящей стоимости долгосрочных обязательств / дебиторской задолженности должна быть зафиксирована в приказе об учетной политике.
- Плательщики налога на прибыль учитывают суммы дисконтирования по бухучетным правилам (без корректировок).
